mp-560623/Mg3P2O8/anharm

Harmonic properties

../../_images/fig_bandos_pr7535.png

(a) Phonon dispersion with participation ratio and DOS

../../_images/fig_thermo7535.png

(b) Thermodynamic properties

Grüneisen parameters

../../_images/fig_gru_all3161.png

(a) Grüneisen parameters

../../_images/fig_gruneisen3161.png

(b) Phonon dispersion with Grüneisen parameters

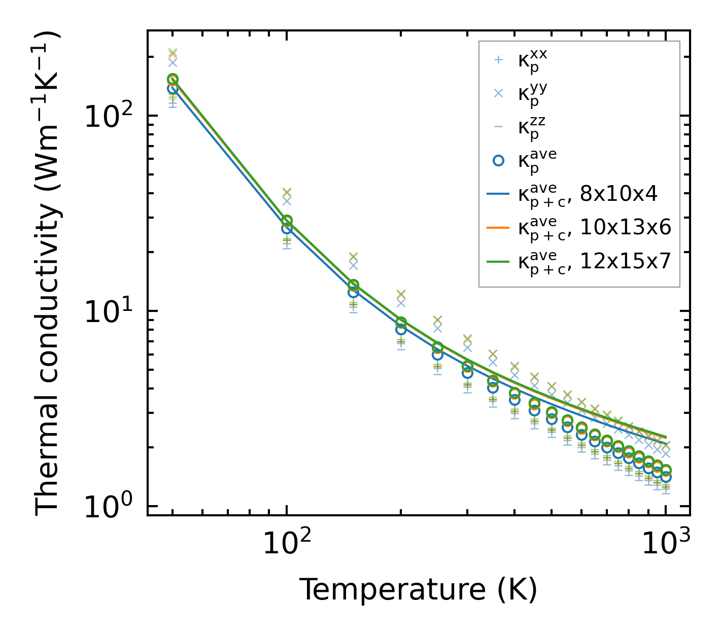
Thermal conductivity

3-phonon (LASSO) — q-mesh: 12x15x7, supercell: 2x2x1

../../_images/fig_kappa5986.png

(a) Temperature-dependent lattice thermal conductivity

../../_images/fig_kappa_vs_grain_size3202.png

(b) Peierls lattice thermal conductivity w.r.t grain size

Phonon lifetime and scattering rates

../../_images/fig_lifetime3133.png

(a) Phonon lifetime due to phonon-phonon scattering

../../_images/fig_scat_rates3132.png

(b) Phonon scattering rates

Cumulative and spectral thermal conductivity

../../_images/fig_cumu_frequency3133.png

(a) Spectral and cumulative thermal conductivity w.r.t frequency

../../_images/fig_cumu_mfp3132.png

(b) Spectral and cumulative thermal conductivity w.r.t MFP

Force constants

../../_images/fig_fc27299.png

(a) Force constants w.r.t atomic distance

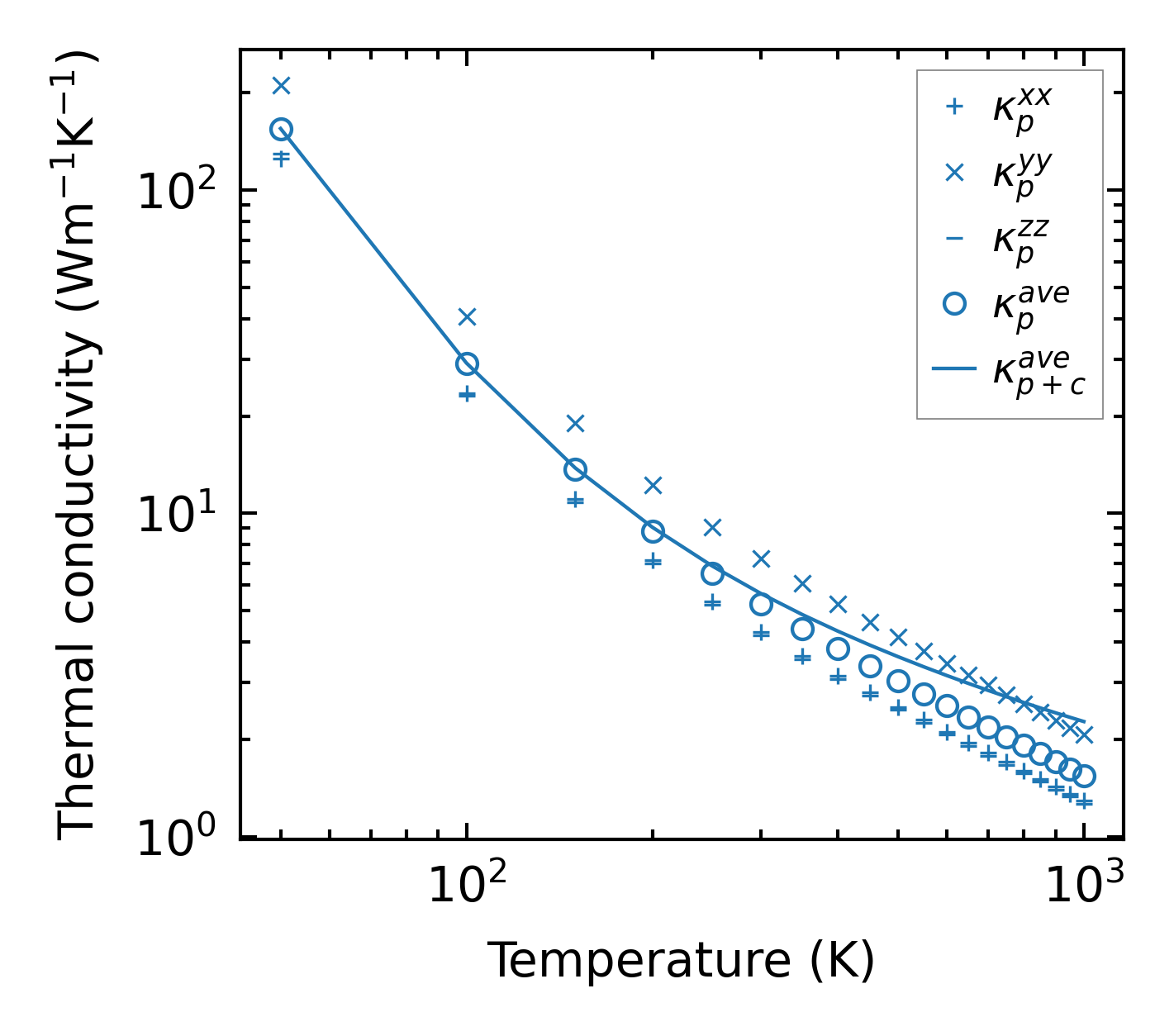
Summary

../../_images/fig_kappa5987.png

(a) Temperature-dependent lattice thermal conductivity

../../_images/fig_times13341.png

(b) Computation time