mp-560493/Ba2VCu3S6/anharm

Harmonic properties

../../_images/fig_bandos_pr7502.png

(a) Phonon dispersion with participation ratio and DOS

../../_images/fig_thermo7502.png

(b) Thermodynamic properties

Grüneisen parameters

../../_images/fig_gru_all3142.png

(a) Grüneisen parameters

../../_images/fig_gruneisen3142.png

(b) Phonon dispersion with Grüneisen parameters

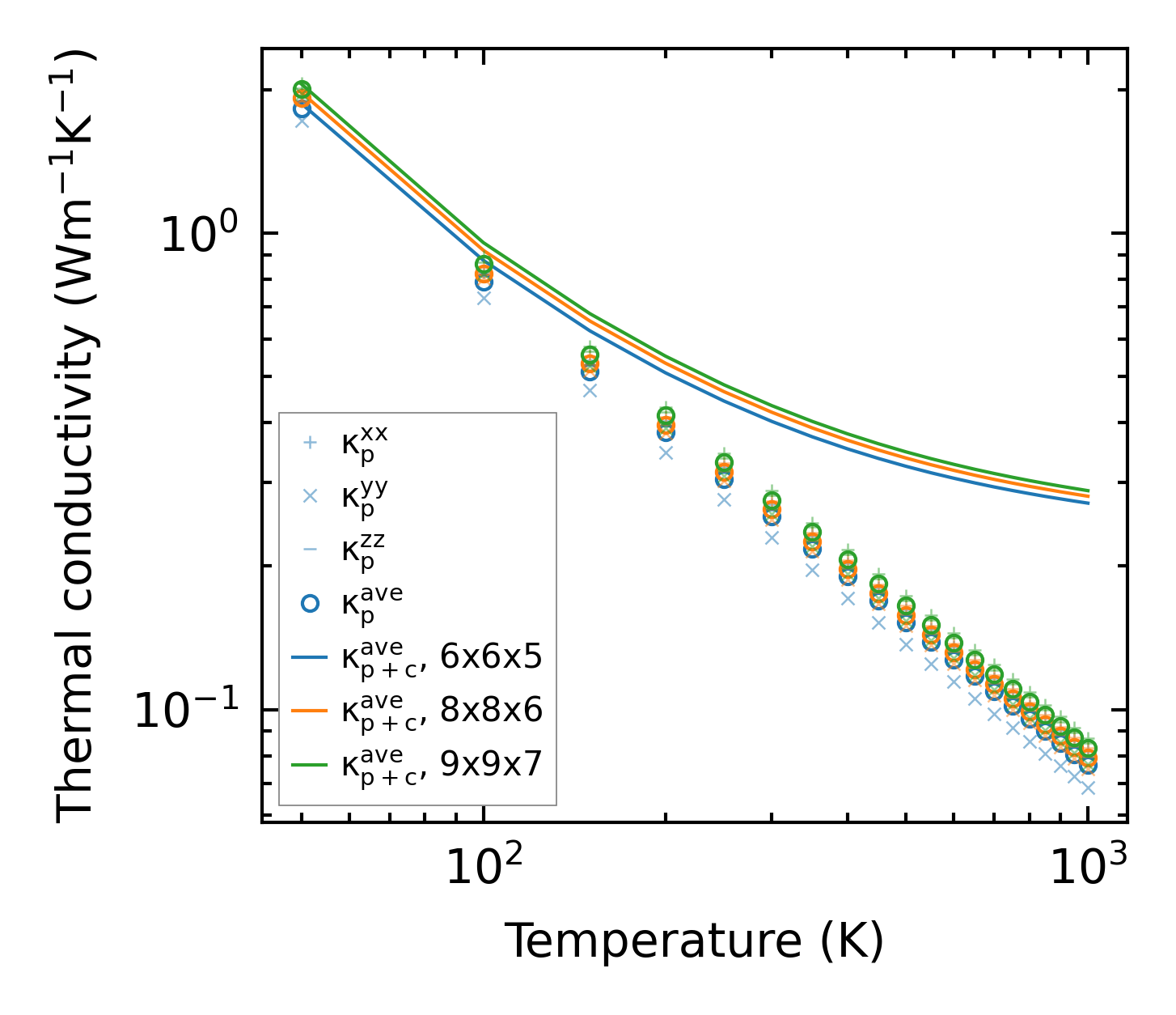
Thermal conductivity

3-phonon (LASSO) — q-mesh: 9x9x7, supercell: 1x2x1

../../_images/fig_kappa5949.png

(a) Temperature-dependent lattice thermal conductivity

../../_images/fig_kappa_vs_grain_size3183.png

(b) Peierls lattice thermal conductivity w.r.t grain size

Phonon lifetime and scattering rates

../../_images/fig_lifetime3114.png

(a) Phonon lifetime due to phonon-phonon scattering

../../_images/fig_scat_rates3113.png

(b) Phonon scattering rates

Cumulative and spectral thermal conductivity

../../_images/fig_cumu_frequency3114.png

(a) Spectral and cumulative thermal conductivity w.r.t frequency

../../_images/fig_cumu_mfp3113.png

(b) Spectral and cumulative thermal conductivity w.r.t MFP

Force constants

../../_images/fig_fc27266.png

(a) Force constants w.r.t atomic distance

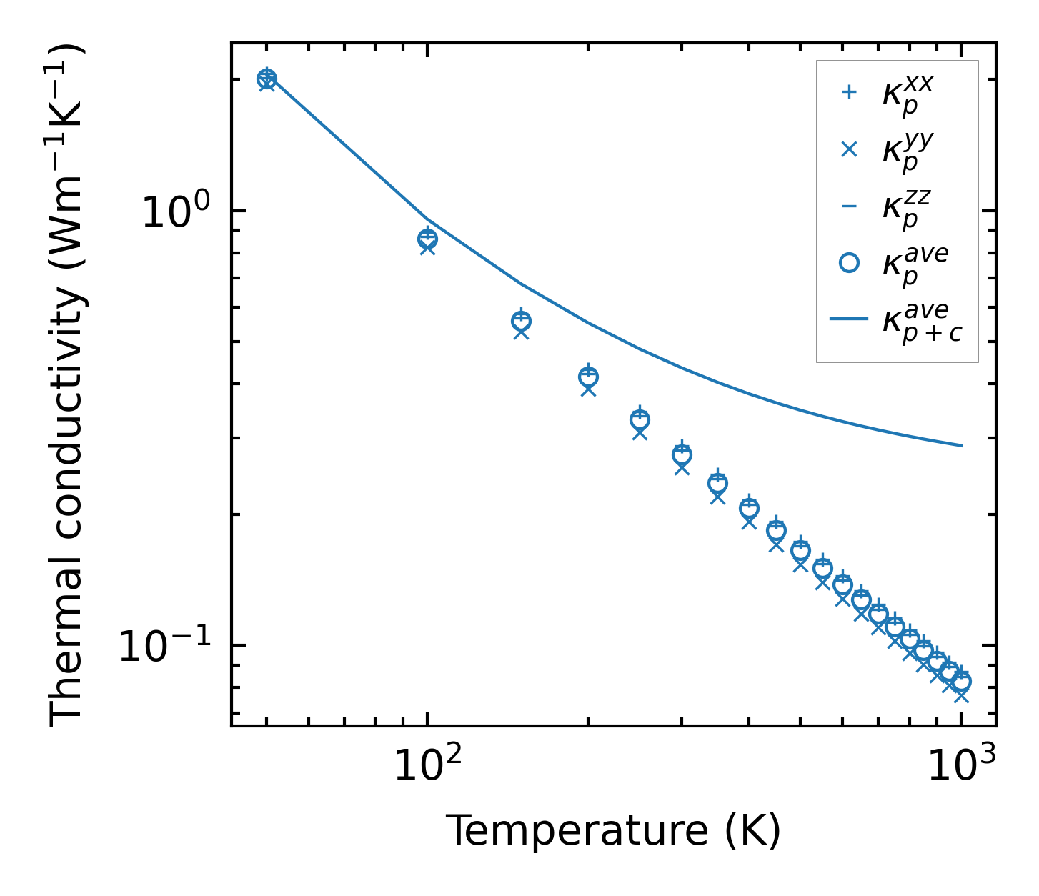
Summary

../../_images/fig_kappa5950.png

(a) Temperature-dependent lattice thermal conductivity

../../_images/fig_times13290.png

(b) Computation time