mp-560086/Nd4Ge3S12/harm

Harmonic properties

../../_images/fig_bandos_pr7755.png

(a) Phonon dispersion with participation ratio and DOS

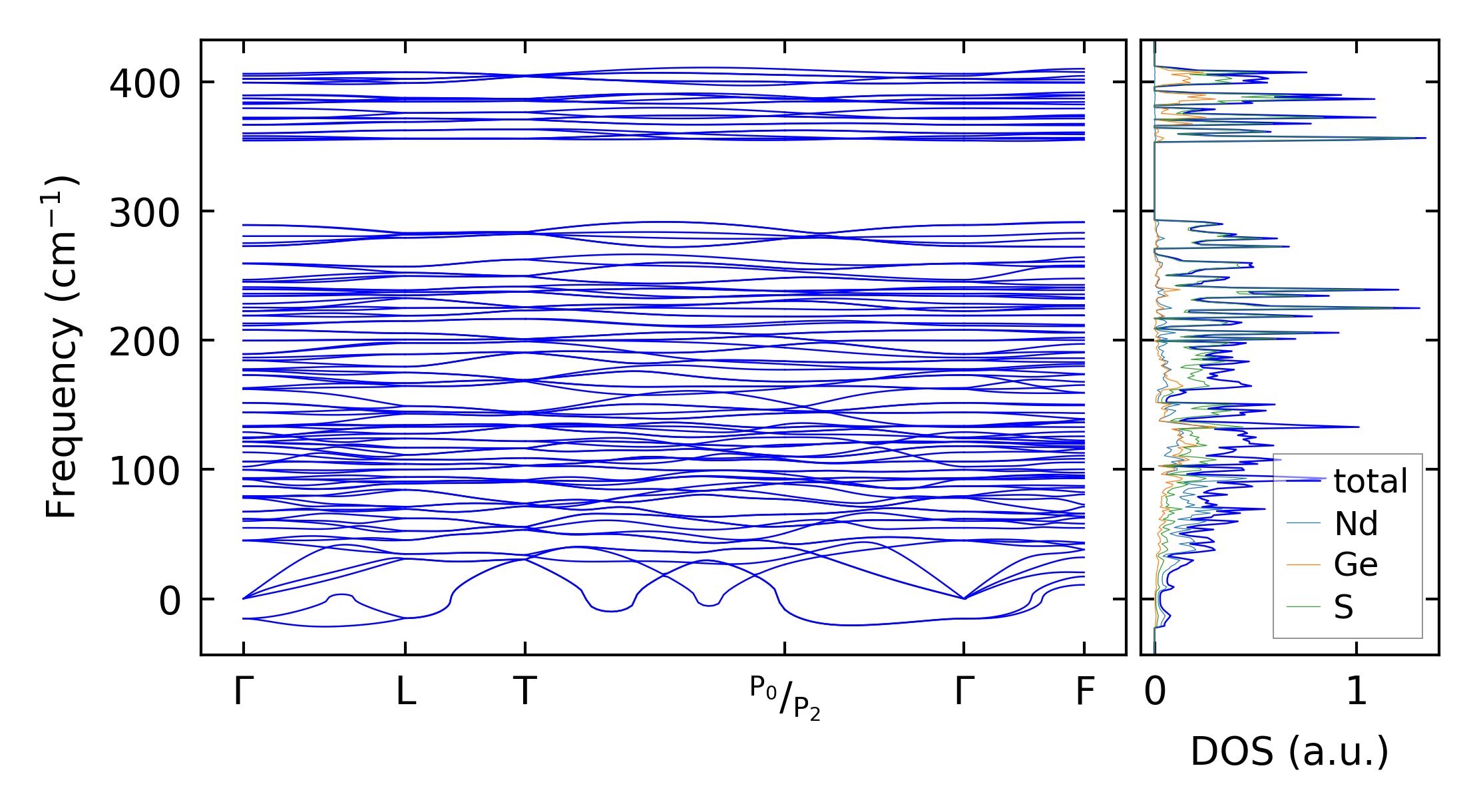
../../_images/fig_bandos10876.png

(b) Phonon dispersion and DOS

../../_images/fig_thermo7755.png

(c) Thermodynamic properties

Force constants

../../_images/fig_fc27518.png

(a) Force constants w.r.t atomic distance

Summary

../../_images/fig_times13677.png

(a) Computation time