mp-560555/Li8Bi2PdO10/anharm

Harmonic properties

../../_images/fig_bandos_pr7515.png

(a) Phonon dispersion with participation ratio and DOS

../../_images/fig_thermo7515.png

(b) Thermodynamic properties

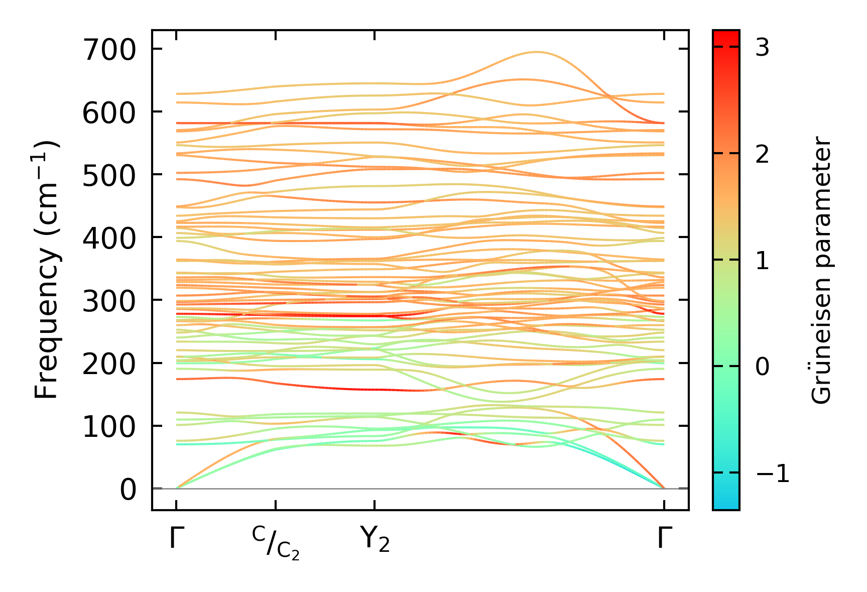
Grüneisen parameters

../../_images/fig_gru_all3148.png

(a) Grüneisen parameters

../../_images/fig_gruneisen3148.png

(b) Phonon dispersion with Grüneisen parameters

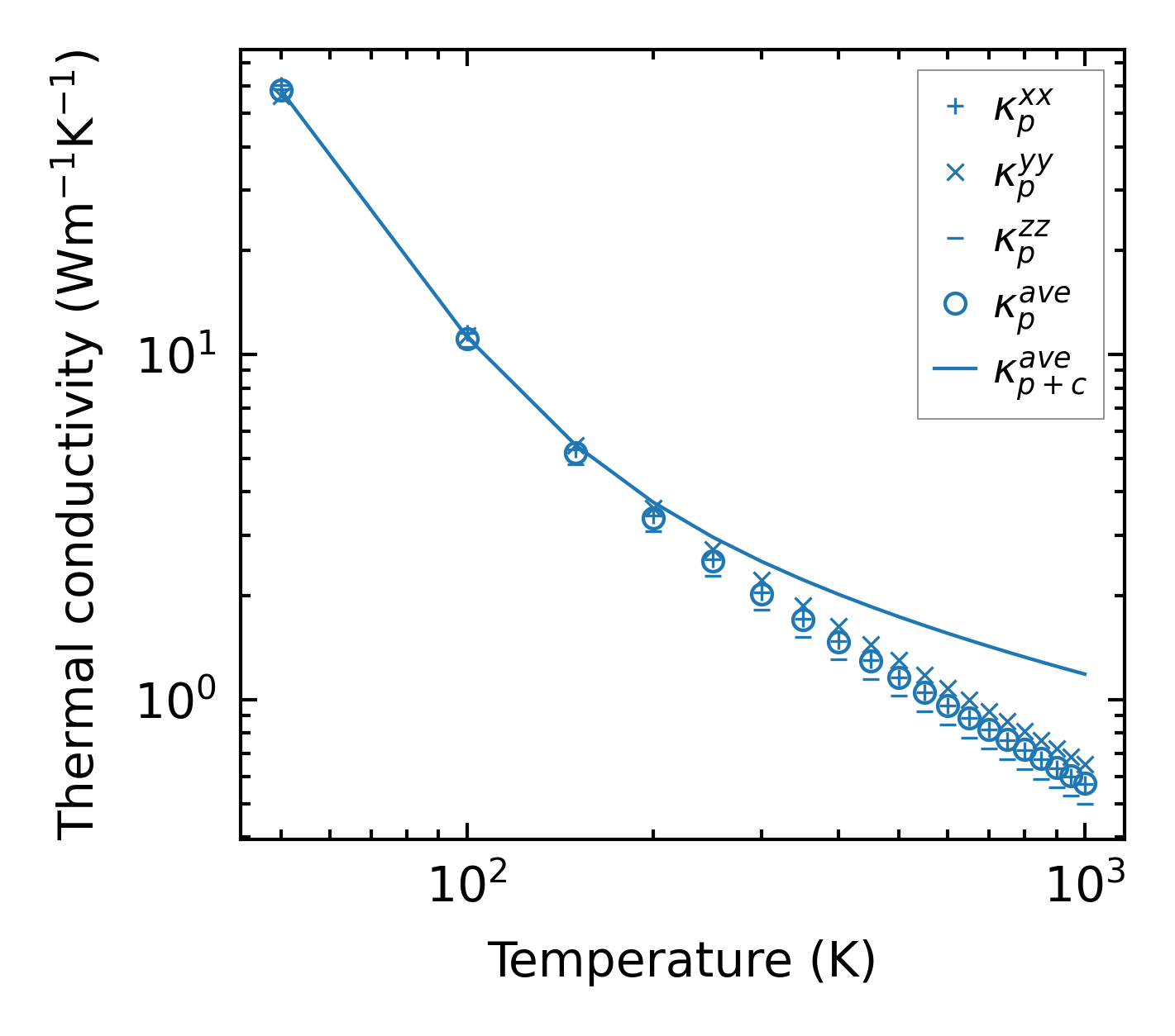
Thermal conductivity

3-phonon (LASSO) — q-mesh: 15x15x7, supercell: 1x3x1

../../_images/fig_kappa5960.png

(a) Temperature-dependent lattice thermal conductivity

../../_images/fig_kappa_vs_grain_size3189.png

(b) Peierls lattice thermal conductivity w.r.t grain size

Phonon lifetime and scattering rates

../../_images/fig_lifetime3120.png

(a) Phonon lifetime due to phonon-phonon scattering

../../_images/fig_scat_rates3119.png

(b) Phonon scattering rates

Cumulative and spectral thermal conductivity

../../_images/fig_cumu_frequency3120.png

(a) Spectral and cumulative thermal conductivity w.r.t frequency

../../_images/fig_cumu_mfp3119.png

(b) Spectral and cumulative thermal conductivity w.r.t MFP

Force constants

../../_images/fig_fc27279.png

(a) Force constants w.r.t atomic distance

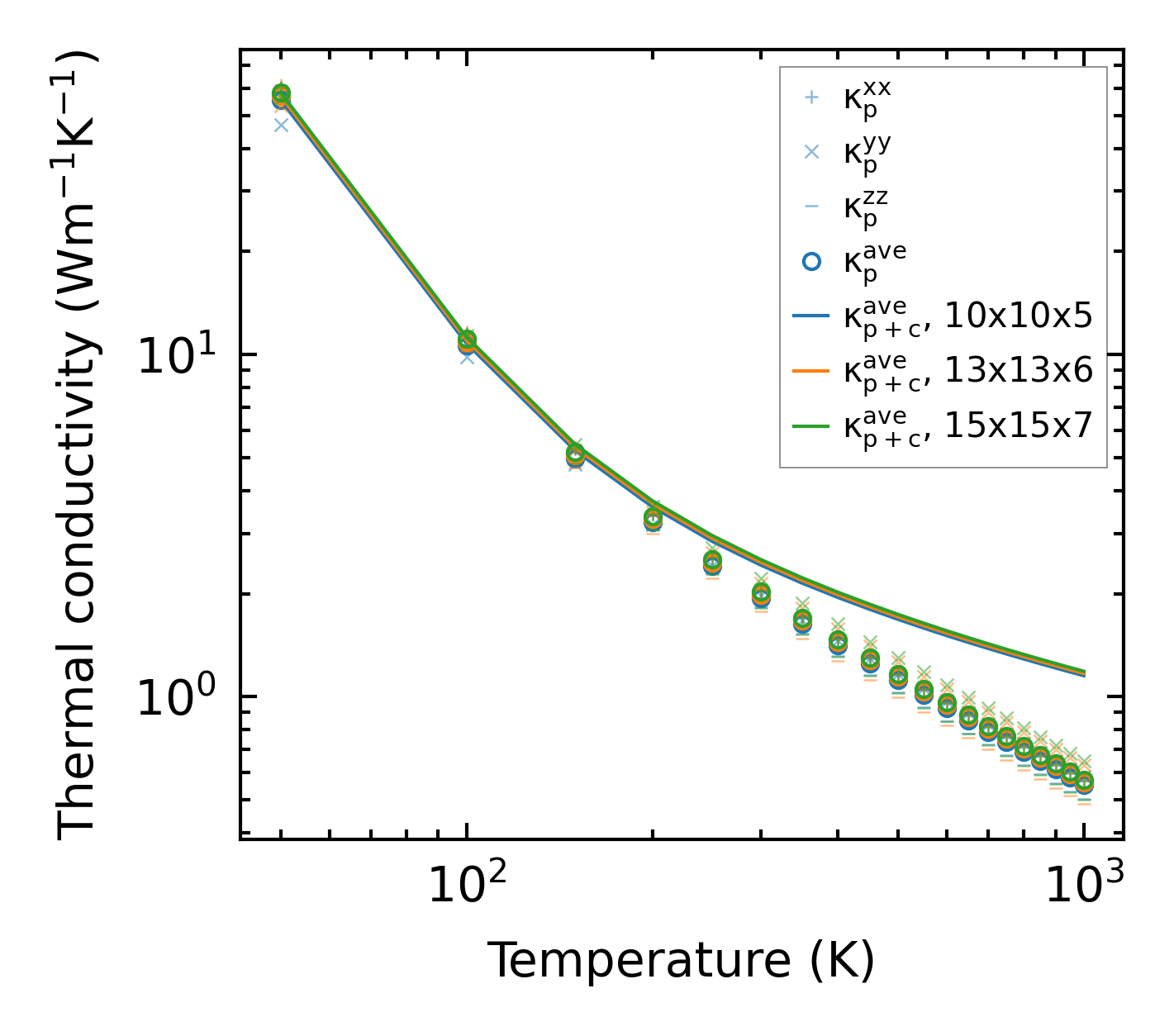
Summary

../../_images/fig_kappa5961.png

(a) Temperature-dependent lattice thermal conductivity

../../_images/fig_times13307.png

(b) Computation time