mp-14969/BaErCuS3/anharm

Harmonic properties

../../_images/fig_bandos_pr14560.png

(a) Phonon dispersion with participation ratio and DOS

../../_images/fig_thermo14560.png

(b) Thermodynamic properties

Grüneisen parameters

../../_images/fig_gru_all6233.png

(a) Grüneisen parameters

../../_images/fig_gruneisen6233.png

(b) Phonon dispersion with Grüneisen parameters

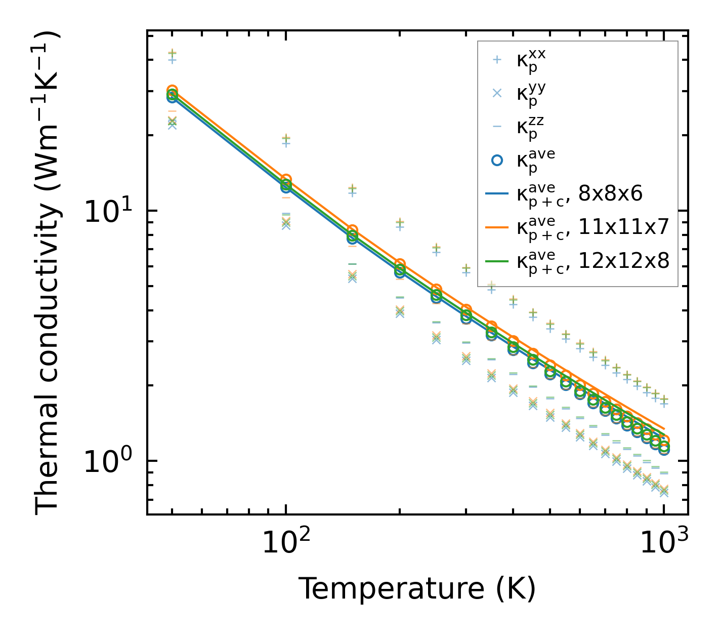
Thermal conductivity

3-phonon (LASSO) — q-mesh: 12x12x8, supercell: 3x1x2

../../_images/fig_kappa11726.png

(a) Temperature-dependent lattice thermal conductivity

../../_images/fig_kappa_vs_grain_size6310.png

(b) Peierls lattice thermal conductivity w.r.t grain size

Phonon lifetime and scattering rates

../../_images/fig_lifetime6171.png

(a) Phonon lifetime due to phonon-phonon scattering

../../_images/fig_scat_rates6170.png

(b) Phonon scattering rates

Cumulative and spectral thermal conductivity

../../_images/fig_cumu_frequency6171.png

(a) Spectral and cumulative thermal conductivity w.r.t frequency

../../_images/fig_cumu_mfp6170.png

(b) Spectral and cumulative thermal conductivity w.r.t MFP

Force constants

../../_images/fig_fc214179.png

(a) Force constants w.r.t atomic distance

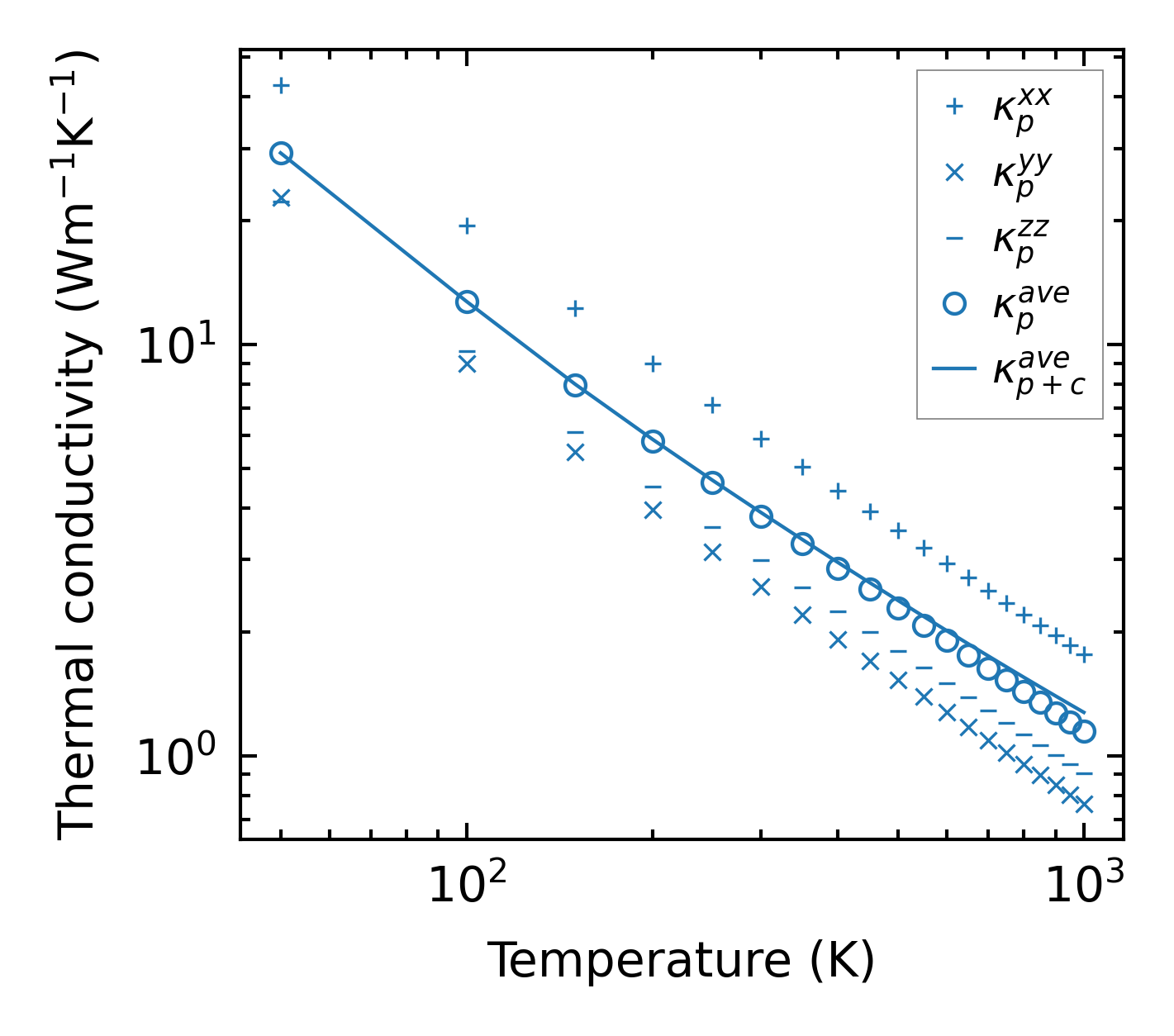
Summary

../../_images/fig_kappa11727.png

(a) Temperature-dependent lattice thermal conductivity

../../_images/fig_times24228.png

(b) Computation time