mp-14912-2/La4Si2Se3O7/anharm

Equation of state

../../_images/fig_bm7278.png

(a) Equation of state

Harmonic properties

../../_images/fig_bandos_pr14551.png

(a) Phonon dispersion with participation ratio and DOS

../../_images/fig_bandos18907.png

(b) Phonon dispersion and DOS

../../_images/fig_thermo14551.png

(c) Thermodynamic properties

Grüneisen parameters

../../_images/fig_gru_all6230.png

(a) Grüneisen parameters

../../_images/fig_gruneisen6230.png

(b) Phonon dispersion with Grüneisen parameters

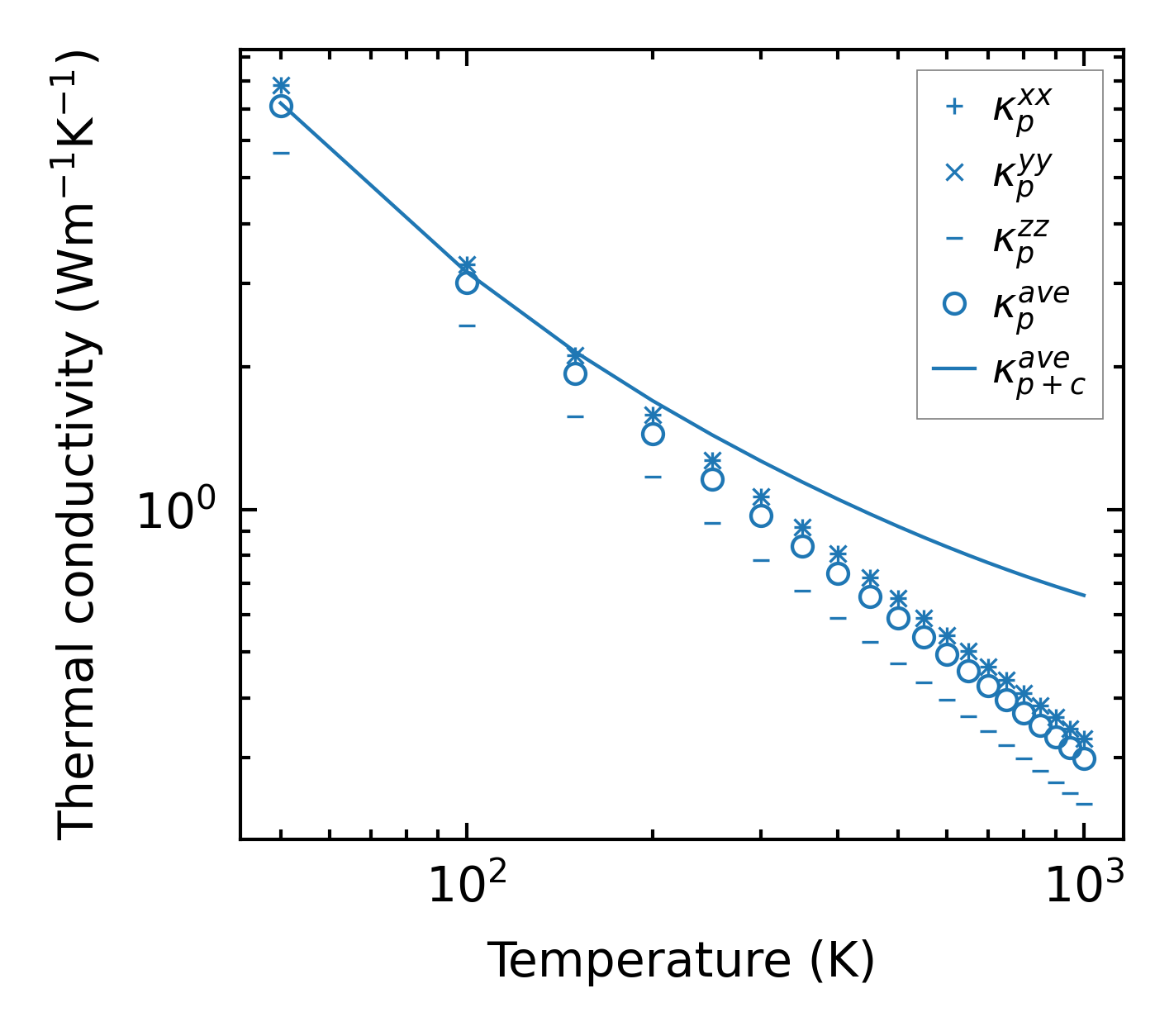
Thermal conductivity

3-phonon (LASSO) — q-mesh: 6x6x6, supercell: 1x1x1

../../_images/fig_kappa11722.png

(a) Temperature-dependent lattice thermal conductivity

../../_images/fig_kappa_vs_grain_size6308.png

(b) Peierls lattice thermal conductivity w.r.t grain size

Phonon lifetime and scattering rates

../../_images/fig_lifetime6169.png

(a) Phonon lifetime due to phonon-phonon scattering

../../_images/fig_scat_rates6168.png

(b) Phonon scattering rates

Cumulative and spectral thermal conductivity

../../_images/fig_cumu_frequency6169.png

(a) Spectral and cumulative thermal conductivity w.r.t frequency

../../_images/fig_cumu_mfp6168.png

(b) Spectral and cumulative thermal conductivity w.r.t MFP

Force constants

../../_images/fig_fc214170.png

(a) Force constants w.r.t atomic distance

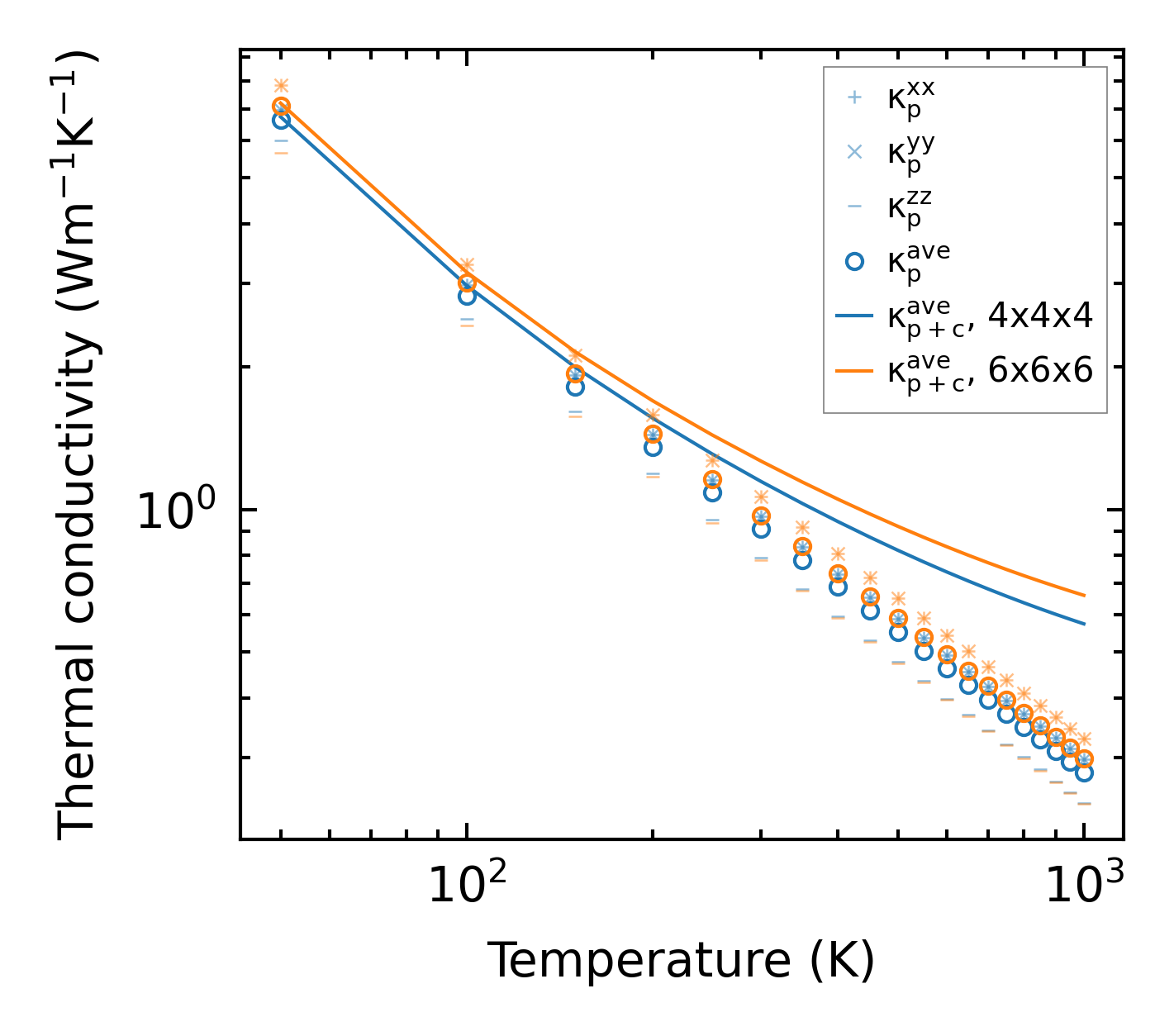
Summary

../../_images/fig_kappa11723.png

(a) Temperature-dependent lattice thermal conductivity

../../_images/fig_times24214.png

(b) Computation time