mp-14447-2/Ba2SiSe4/anharm

Equation of state

../../_images/fig_bm7412.png

(a) Equation of state

Harmonic properties

../../_images/fig_bandos_pr14812.png

(a) Phonon dispersion with participation ratio and DOS

../../_images/fig_bandos19182.png

(b) Phonon dispersion and DOS

../../_images/fig_thermo14812.png

(c) Thermodynamic properties

Grüneisen parameters

../../_images/fig_gru_all6349.png

(a) Grüneisen parameters

../../_images/fig_gruneisen6349.png

(b) Phonon dispersion with Grüneisen parameters

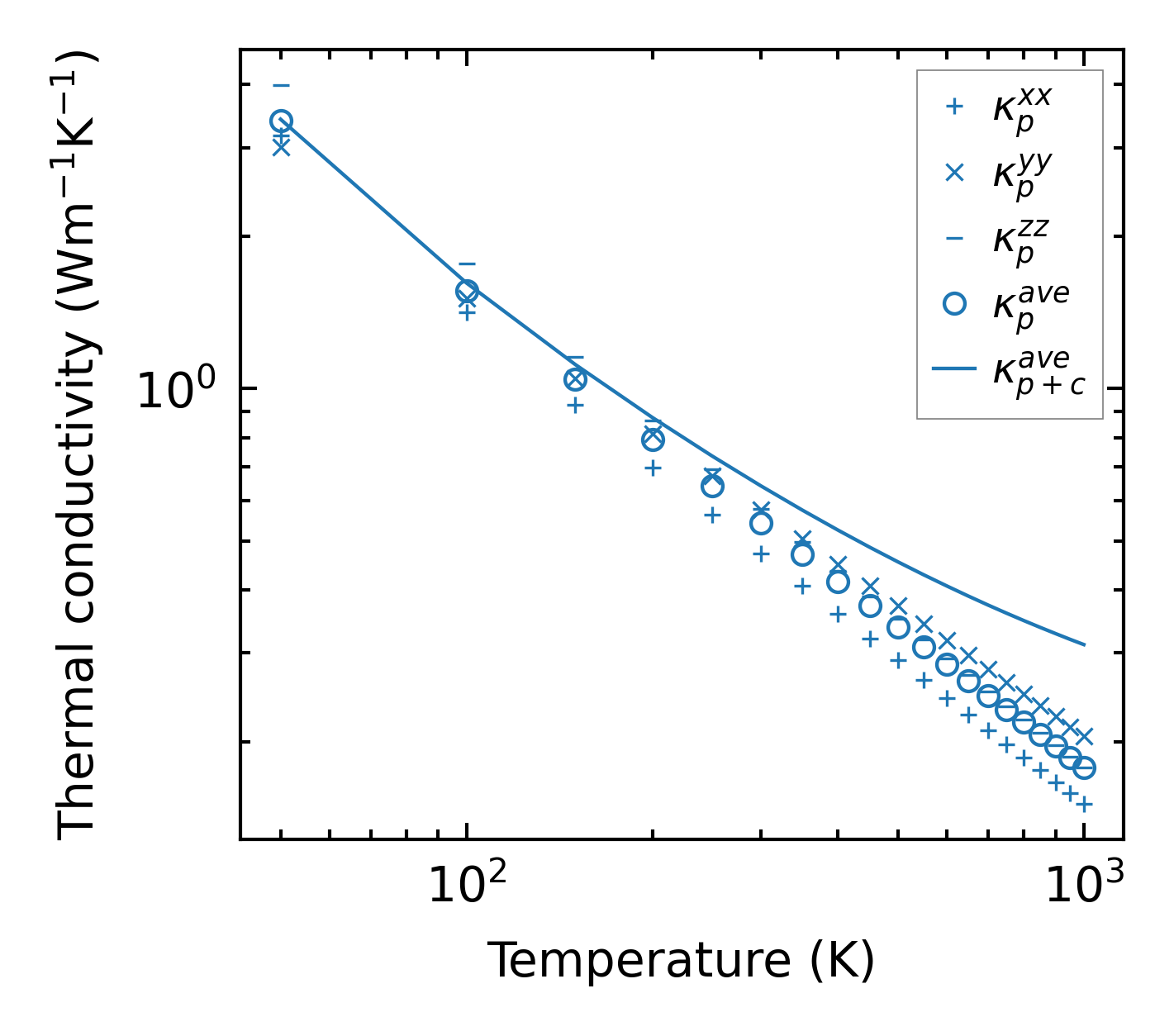
Thermal conductivity

3-phonon (LASSO) — q-mesh: 10x10x7, supercell: 2x2x2

../../_images/fig_kappa11939.png

(a) Temperature-dependent lattice thermal conductivity

../../_images/fig_kappa_vs_grain_size6425.png

(b) Peierls lattice thermal conductivity w.r.t grain size

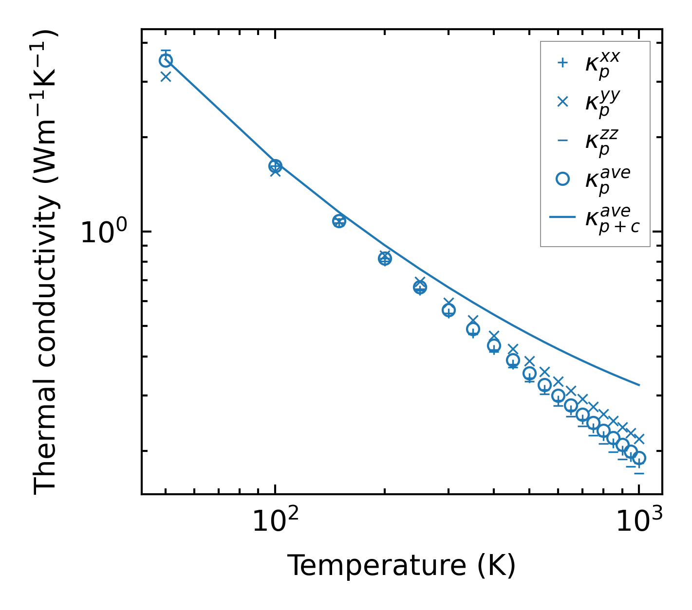
3-phonon (LASSO), supercell 3x2x2 — q-mesh: 10x10x7, supercell: 3x2x2

../../_images/fig_kappa11940.png

(a) Temperature-dependent lattice thermal conductivity

../../_images/fig_kappa_vs_grain_size6426.png

(b) Peierls lattice thermal conductivity w.r.t grain size

Phonon lifetime and scattering rates

../../_images/fig_lifetime6285.png

(a) Phonon lifetime due to phonon-phonon scattering

../../_images/fig_scat_rates6284.png

(b) Phonon scattering rates

Cumulative and spectral thermal conductivity

../../_images/fig_cumu_frequency6285.png

(a) Spectral and cumulative thermal conductivity w.r.t frequency

../../_images/fig_cumu_mfp6284.png

(b) Spectral and cumulative thermal conductivity w.r.t MFP

Force constants

../../_images/fig_fc214430.png

(a) Force constants w.r.t atomic distance

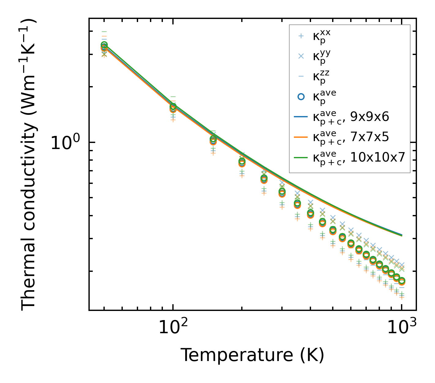
Summary

../../_images/fig_kappa11941.png

(a) Temperature-dependent lattice thermal conductivity

../../_images/fig_times24587.png

(b) Computation time