mp-14871/Li16Ta2N8O/anharm

Harmonic properties

../../_images/fig_bandos_pr14542.png

(a) Phonon dispersion with participation ratio and DOS

../../_images/fig_thermo14542.png

(b) Thermodynamic properties

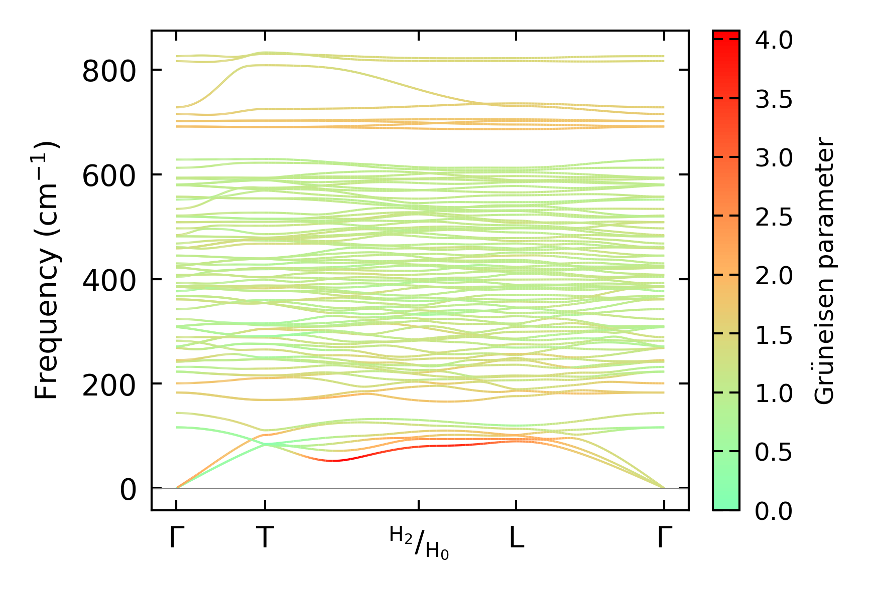
Grüneisen parameters

../../_images/fig_gru_all6229.png

(a) Grüneisen parameters

../../_images/fig_gruneisen6229.png

(b) Phonon dispersion with Grüneisen parameters

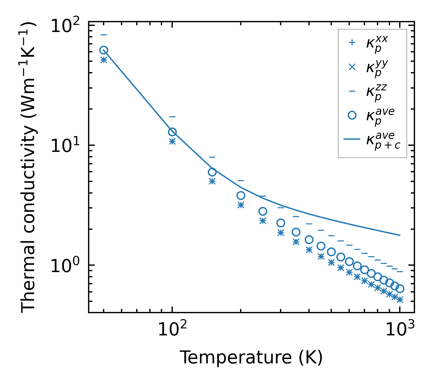
Thermal conductivity

3-phonon (LASSO) — q-mesh: 11x11x11, supercell: 1x1x1

../../_images/fig_kappa11720.png

(a) Temperature-dependent lattice thermal conductivity

../../_images/fig_kappa_vs_grain_size6307.png

(b) Peierls lattice thermal conductivity w.r.t grain size

Phonon lifetime and scattering rates

../../_images/fig_lifetime6168.png

(a) Phonon lifetime due to phonon-phonon scattering

../../_images/fig_scat_rates6167.png

(b) Phonon scattering rates

Cumulative and spectral thermal conductivity

../../_images/fig_cumu_frequency6168.png

(a) Spectral and cumulative thermal conductivity w.r.t frequency

../../_images/fig_cumu_mfp6167.png

(b) Spectral and cumulative thermal conductivity w.r.t MFP

Force constants

../../_images/fig_fc214161.png

(a) Force constants w.r.t atomic distance

Summary

../../_images/fig_kappa11721.png

(a) Temperature-dependent lattice thermal conductivity

../../_images/fig_times24203.png

(b) Computation time