mp-14252/Ca3UO6/anharm

Harmonic properties

../../_images/fig_bandos_pr14737.png

(a) Phonon dispersion with participation ratio and DOS

../../_images/fig_thermo14737.png

(b) Thermodynamic properties

Grüneisen parameters

../../_images/fig_gru_all6319.png

(a) Grüneisen parameters

../../_images/fig_gruneisen6319.png

(b) Phonon dispersion with Grüneisen parameters

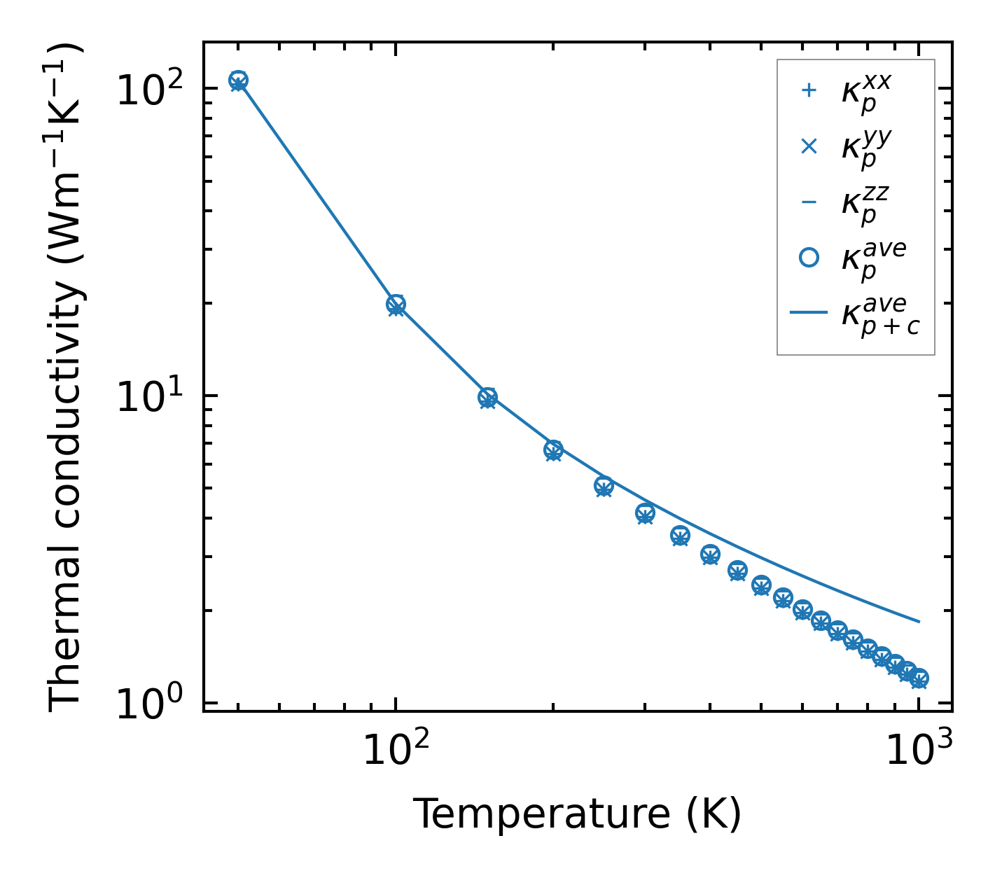
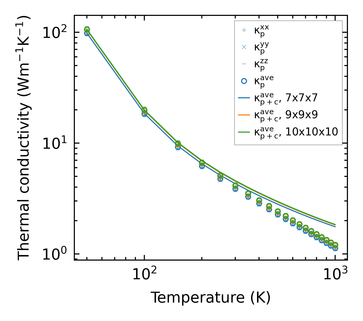
Thermal conductivity

3-phonon (LASSO) — q-mesh: 10x10x10, supercell: 1x1x1

../../_images/fig_kappa11885.png

(a) Temperature-dependent lattice thermal conductivity

../../_images/fig_kappa_vs_grain_size6395.png

(b) Peierls lattice thermal conductivity w.r.t grain size

Phonon lifetime and scattering rates

../../_images/fig_lifetime6256.png

(a) Phonon lifetime due to phonon-phonon scattering

../../_images/fig_scat_rates6255.png

(b) Phonon scattering rates

Cumulative and spectral thermal conductivity

../../_images/fig_cumu_frequency6256.png

(a) Spectral and cumulative thermal conductivity w.r.t frequency

../../_images/fig_cumu_mfp6255.png

(b) Spectral and cumulative thermal conductivity w.r.t MFP

Force constants

../../_images/fig_fc214355.png

(a) Force constants w.r.t atomic distance

Summary

../../_images/fig_kappa11886.png

(a) Temperature-dependent lattice thermal conductivity

../../_images/fig_times24486.png

(b) Computation time