mp-14680/Sr2Ga2S5/anharm

Equation of state

../../_images/fig_bm7261.png

(a) Equation of state

Harmonic properties

../../_images/fig_bandos_pr14515.png

(a) Phonon dispersion with participation ratio and DOS

../../_images/fig_thermo14515.png

(b) Thermodynamic properties

Grüneisen parameters

../../_images/fig_gru_all6217.png

(a) Grüneisen parameters

../../_images/fig_gruneisen6217.png

(b) Phonon dispersion with Grüneisen parameters

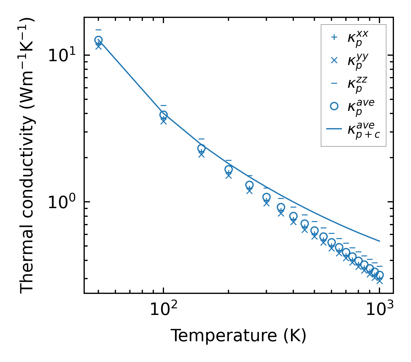
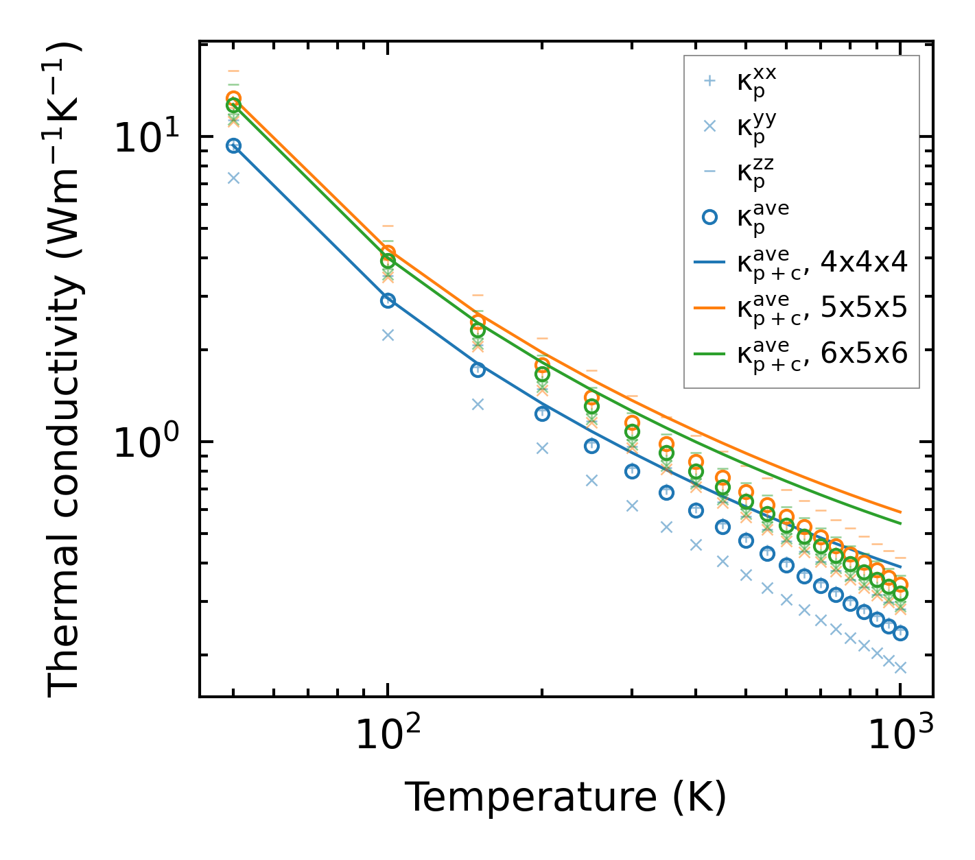
Thermal conductivity

3-phonon (LASSO) — q-mesh: 6x5x6, supercell: 2x1x1

../../_images/fig_kappa11697.png

(a) Temperature-dependent lattice thermal conductivity

../../_images/fig_kappa_vs_grain_size6295.png

(b) Peierls lattice thermal conductivity w.r.t grain size

Phonon lifetime and scattering rates

../../_images/fig_lifetime6156.png

(a) Phonon lifetime due to phonon-phonon scattering

../../_images/fig_scat_rates6155.png

(b) Phonon scattering rates

Cumulative and spectral thermal conductivity

../../_images/fig_cumu_frequency6156.png

(a) Spectral and cumulative thermal conductivity w.r.t frequency

../../_images/fig_cumu_mfp6155.png

(b) Spectral and cumulative thermal conductivity w.r.t MFP

Force constants

../../_images/fig_fc214134.png

(a) Force constants w.r.t atomic distance

Summary

../../_images/fig_kappa11698.png

(a) Temperature-dependent lattice thermal conductivity

../../_images/fig_times24166.png

(b) Computation time