mp-14002/Ba4GeAs4/anharm

Harmonic properties

../../_images/fig_bandos_pr14658.png

(a) Phonon dispersion with participation ratio and DOS

../../_images/fig_thermo14658.png

(b) Thermodynamic properties

Grüneisen parameters

../../_images/fig_gru_all6273.png

(a) Grüneisen parameters

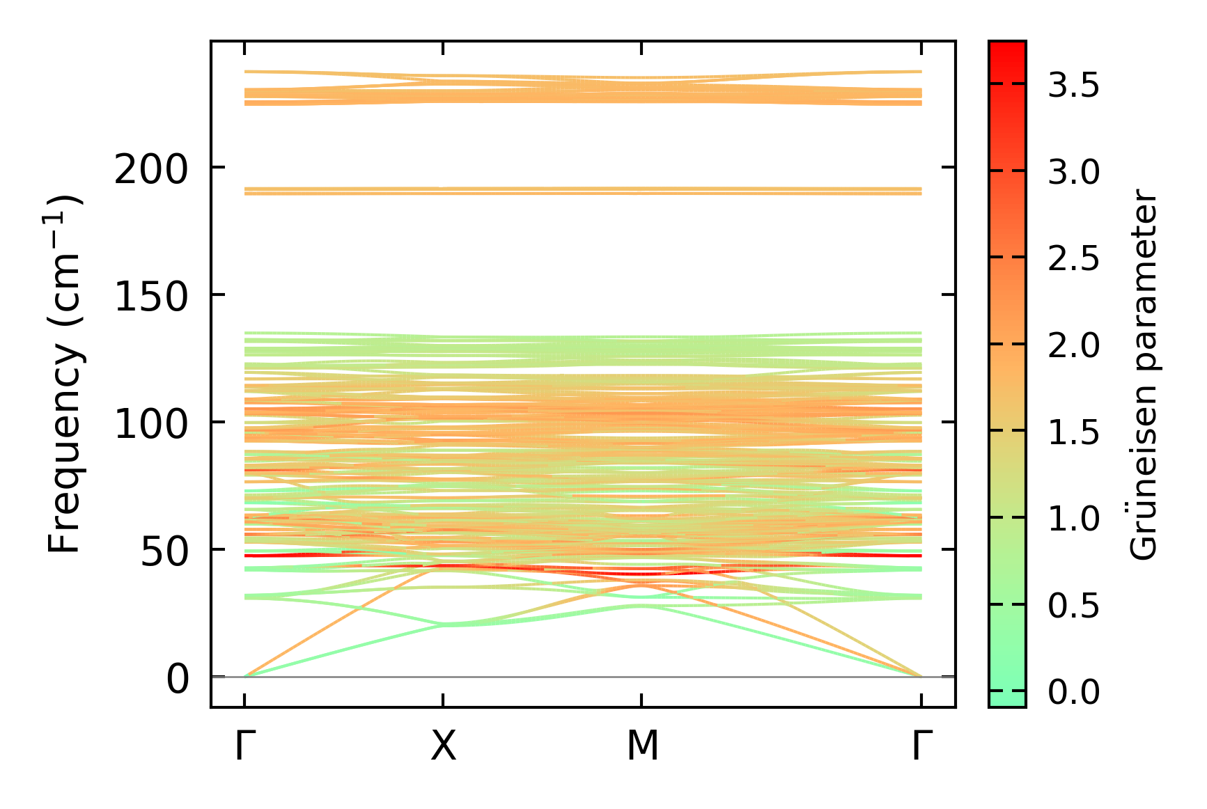
../../_images/fig_gruneisen6273.png

(b) Phonon dispersion with Grüneisen parameters

Thermal conductivity

3-phonon (LASSO) — q-mesh: 5x5x5, supercell: 1x1x1

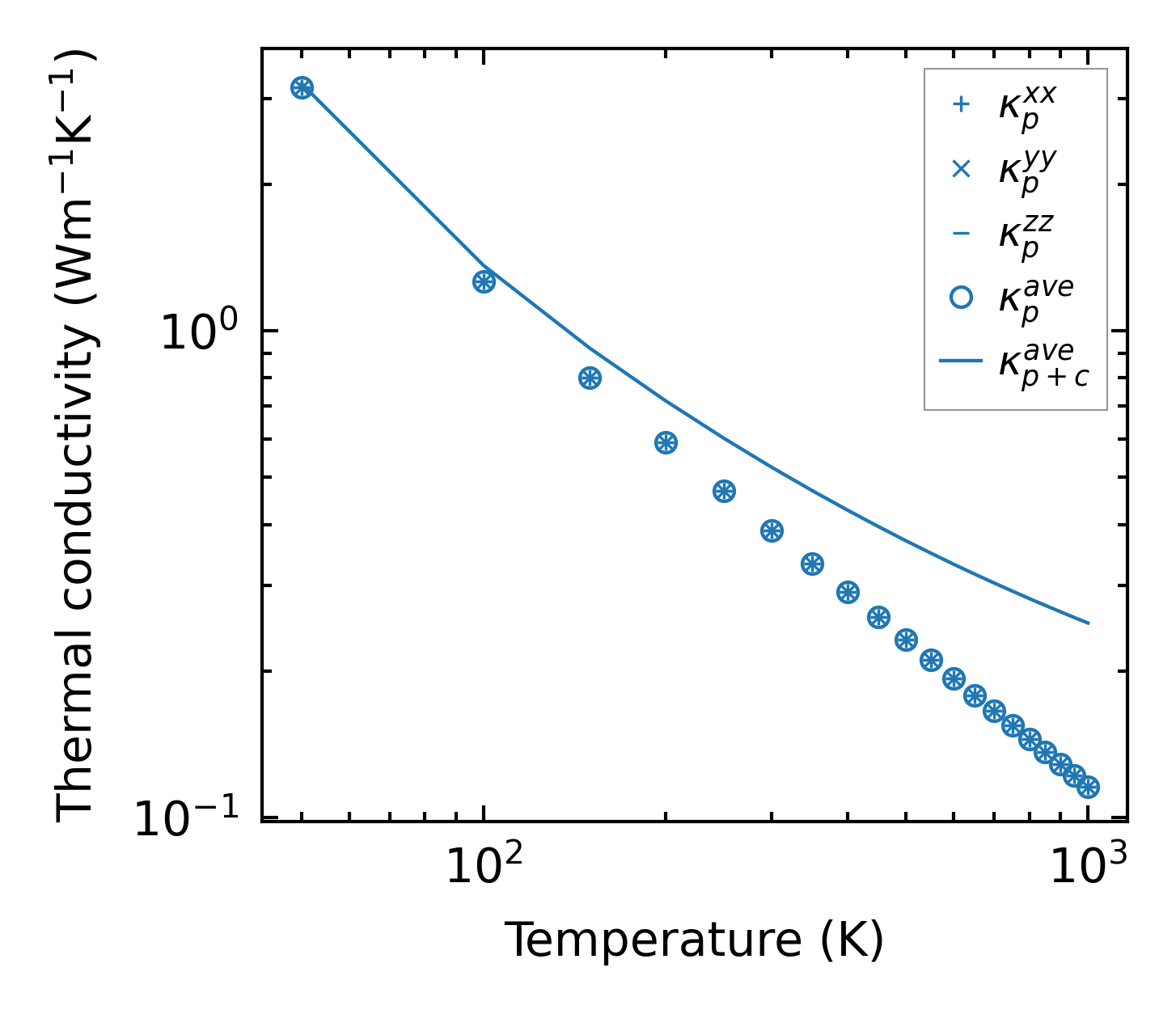
../../_images/fig_kappa11800.png

(a) Temperature-dependent lattice thermal conductivity

../../_images/fig_kappa_vs_grain_size6350.png

(b) Peierls lattice thermal conductivity w.r.t grain size

Phonon lifetime and scattering rates

../../_images/fig_lifetime6211.png

(a) Phonon lifetime due to phonon-phonon scattering

../../_images/fig_scat_rates6210.png

(b) Phonon scattering rates

Cumulative and spectral thermal conductivity

../../_images/fig_cumu_frequency6211.png

(a) Spectral and cumulative thermal conductivity w.r.t frequency

../../_images/fig_cumu_mfp6210.png

(b) Spectral and cumulative thermal conductivity w.r.t MFP

Force constants

../../_images/fig_fc214277.png

(a) Force constants w.r.t atomic distance

Summary

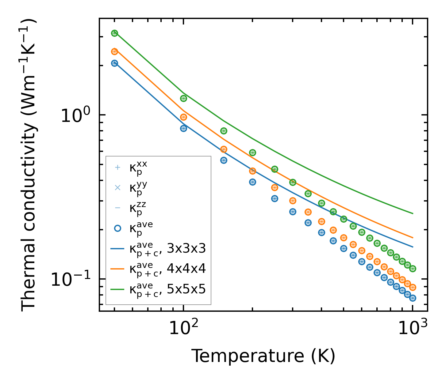
../../_images/fig_kappa11801.png

(a) Temperature-dependent lattice thermal conductivity

../../_images/fig_times24389.png

(b) Computation time