mp-14232-2/LiBO2/anharm

Equation of state

../../_images/fig_bm7362.png

(a) Equation of state

Harmonic properties

../../_images/fig_bandos_pr14732.png

(a) Phonon dispersion with participation ratio and DOS

../../_images/fig_bandos19094.png

(b) Phonon dispersion and DOS

../../_images/fig_thermo14732.png

(c) Thermodynamic properties

Grüneisen parameters

../../_images/fig_gru_all6314.png

(a) Grüneisen parameters

../../_images/fig_gruneisen6314.png

(b) Phonon dispersion with Grüneisen parameters

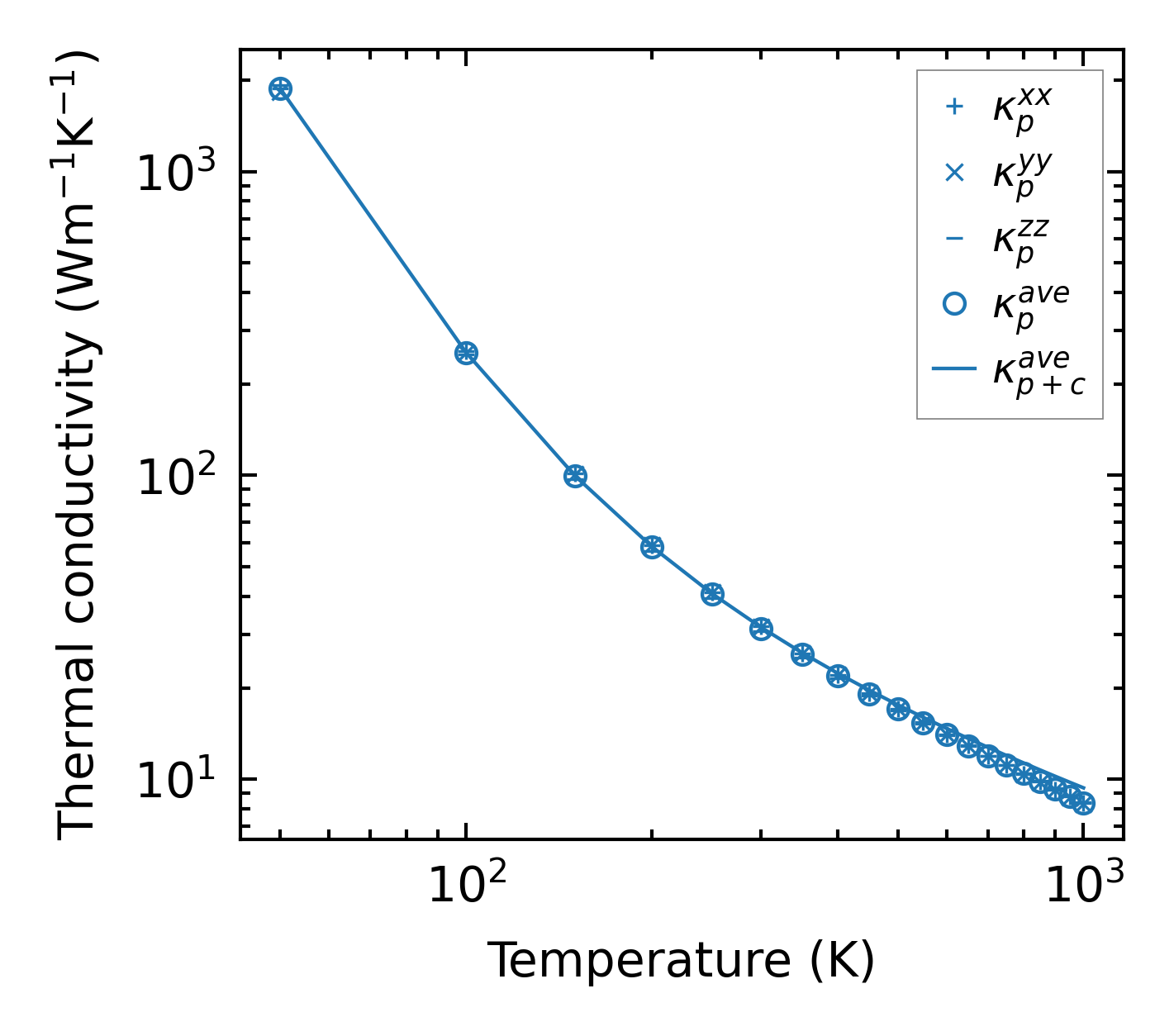
Thermal conductivity

3-phonon (LASSO), supercell 3x3x2 — q-mesh: 18x18x18, supercell: 3x3x2

../../_images/fig_kappa11877.png

(a) Temperature-dependent lattice thermal conductivity

../../_images/fig_kappa_vs_grain_size6390.png

(b) Peierls lattice thermal conductivity w.r.t grain size

Phonon lifetime and scattering rates

../../_images/fig_lifetime6251.png

(a) Phonon lifetime due to phonon-phonon scattering

../../_images/fig_scat_rates6250.png

(b) Phonon scattering rates

Cumulative and spectral thermal conductivity

../../_images/fig_cumu_frequency6251.png

(a) Spectral and cumulative thermal conductivity w.r.t frequency

../../_images/fig_cumu_mfp6250.png

(b) Spectral and cumulative thermal conductivity w.r.t MFP

Force constants

../../_images/fig_fc214350.png

(a) Force constants w.r.t atomic distance

Summary

../../_images/fig_times24473.png

(a) Computation time