mp-14883-2/Ba4Zr3S10/harm

Equation of state

../../_images/fig_bm7275.png

(a) Equation of state

Harmonic properties

../../_images/fig_bandos_pr14546.png

(a) Phonon dispersion with participation ratio and DOS

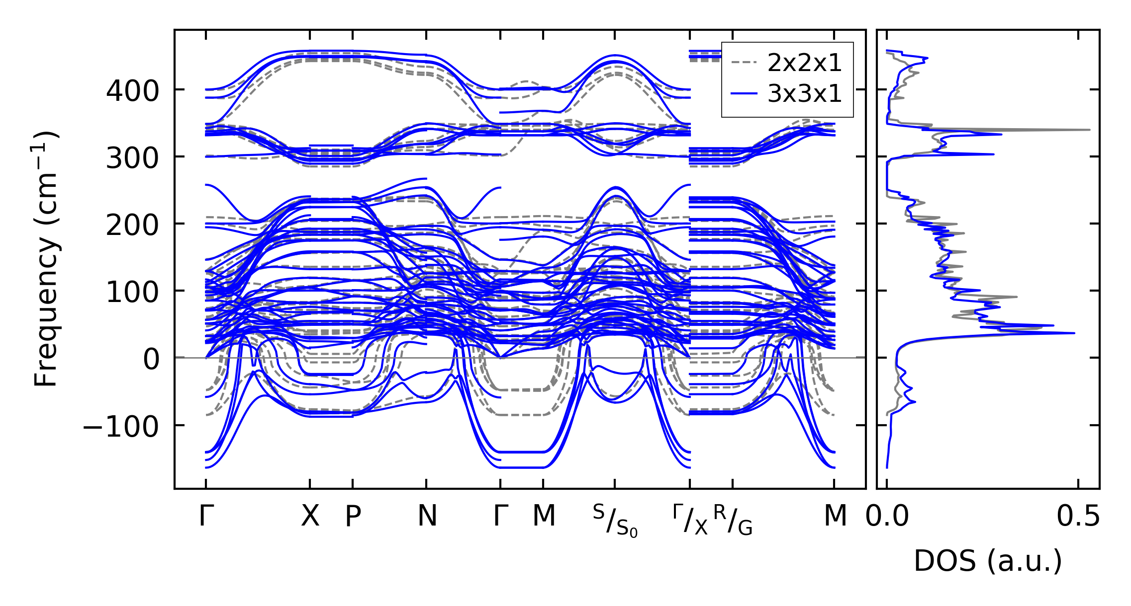
../../_images/fig_bandos18900.png

(b) Phonon dispersion and DOS

../../_images/fig_thermo14546.png

(c) Thermodynamic properties

Force constants

../../_images/fig_fc214165.png

(a) Force constants w.r.t atomic distance

Summary

../../_images/fig_times24207.png

(a) Computation time