mp-14006-2/BaGeF6/anharm

Equation of state

../../_images/fig_bm7328.png

(a) Equation of state

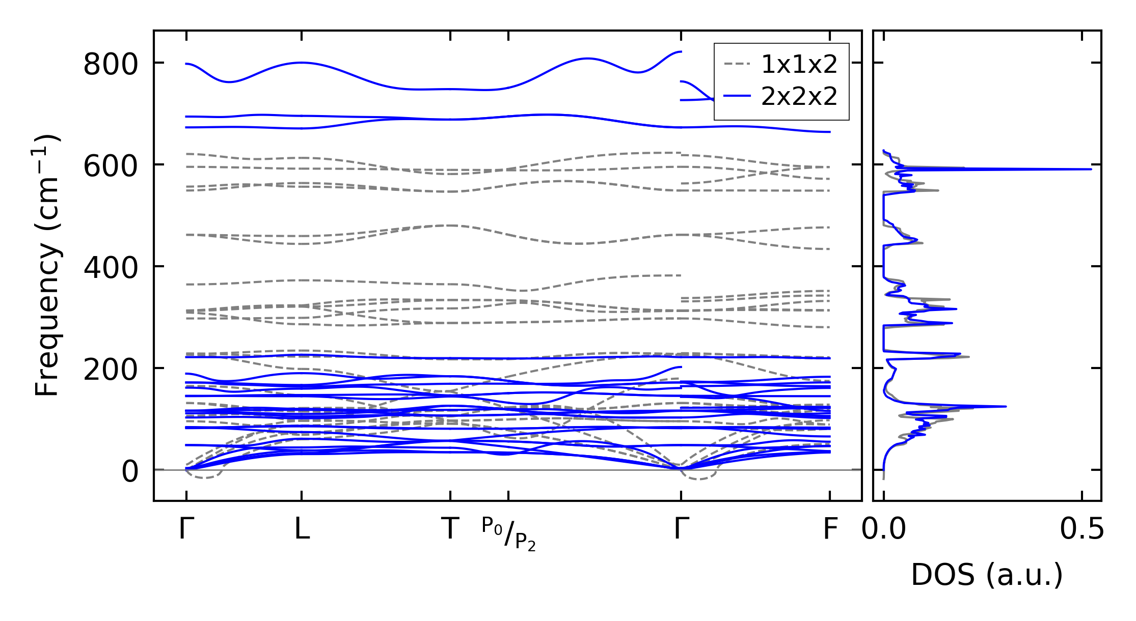
Harmonic properties

../../_images/fig_bandos_pr14660.png

(a) Phonon dispersion with participation ratio and DOS

../../_images/fig_bandos19049.png

(b) Phonon dispersion and DOS

../../_images/fig_thermo14660.png

(c) Thermodynamic properties

Grüneisen parameters

../../_images/fig_gru_all6275.png

(a) Grüneisen parameters

../../_images/fig_gruneisen6275.png

(b) Phonon dispersion with Grüneisen parameters

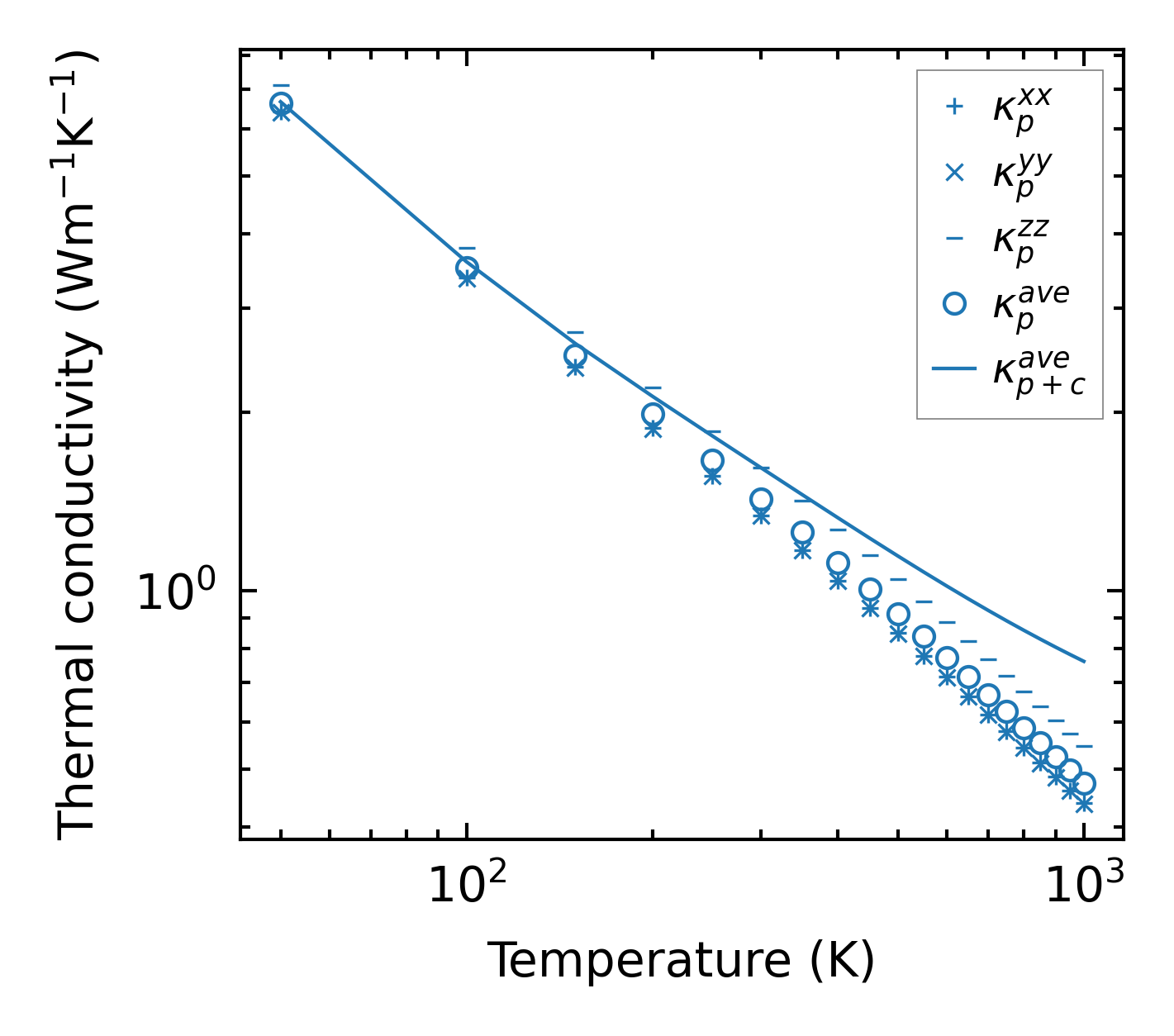
Thermal conductivity

3-phonon (LASSO), supercell 2x2x2 — q-mesh: 14x14x14, supercell: 2x2x2

../../_images/fig_kappa11804.png

(a) Temperature-dependent lattice thermal conductivity

../../_images/fig_kappa_vs_grain_size6352.png

(b) Peierls lattice thermal conductivity w.r.t grain size

Phonon lifetime and scattering rates

../../_images/fig_lifetime6213.png

(a) Phonon lifetime due to phonon-phonon scattering

../../_images/fig_scat_rates6212.png

(b) Phonon scattering rates

Cumulative and spectral thermal conductivity

../../_images/fig_cumu_frequency6213.png

(a) Spectral and cumulative thermal conductivity w.r.t frequency

../../_images/fig_cumu_mfp6212.png

(b) Spectral and cumulative thermal conductivity w.r.t MFP

Force constants

../../_images/fig_fc214279.png

(a) Force constants w.r.t atomic distance

Summary

../../_images/fig_times24392.png

(a) Computation time