mp-14753/Li7TaN4/anharm

Harmonic properties

../../_images/fig_bandos_pr14523.png

(a) Phonon dispersion with participation ratio and DOS

../../_images/fig_thermo14523.png

(b) Thermodynamic properties

Grüneisen parameters

../../_images/fig_gru_all6220.png

(a) Grüneisen parameters

../../_images/fig_gruneisen6220.png

(b) Phonon dispersion with Grüneisen parameters

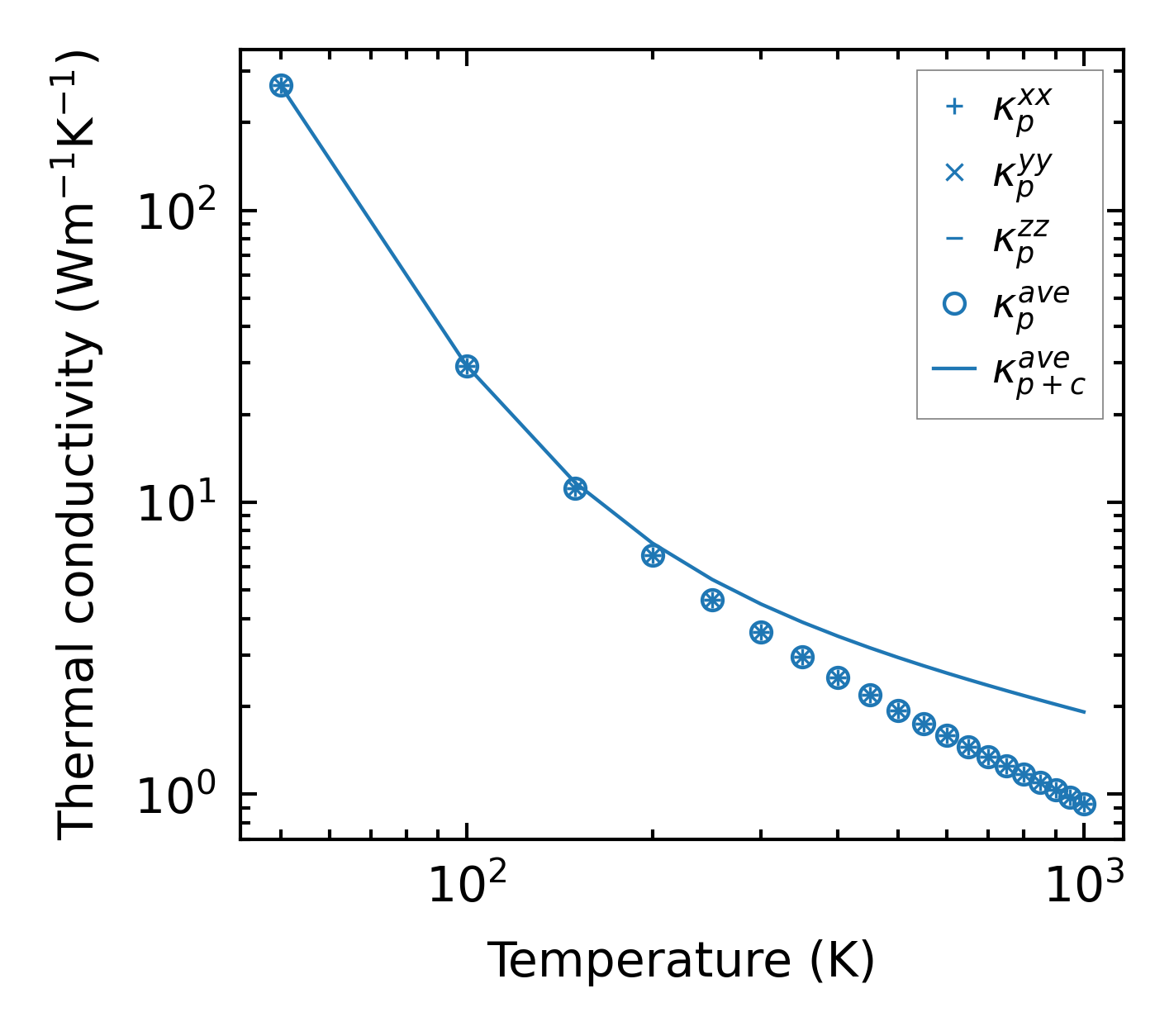
Thermal conductivity

3-phonon (LASSO) — q-mesh: 7x7x7, supercell: 1x1x1

../../_images/fig_kappa11703.png

(a) Temperature-dependent lattice thermal conductivity

../../_images/fig_kappa_vs_grain_size6298.png

(b) Peierls lattice thermal conductivity w.r.t grain size

Phonon lifetime and scattering rates

../../_images/fig_lifetime6159.png

(a) Phonon lifetime due to phonon-phonon scattering

../../_images/fig_scat_rates6158.png

(b) Phonon scattering rates

Cumulative and spectral thermal conductivity

../../_images/fig_cumu_frequency6159.png

(a) Spectral and cumulative thermal conductivity w.r.t frequency

../../_images/fig_cumu_mfp6158.png

(b) Spectral and cumulative thermal conductivity w.r.t MFP

Force constants

../../_images/fig_fc214142.png

(a) Force constants w.r.t atomic distance

Summary

../../_images/fig_kappa11704.png

(a) Temperature-dependent lattice thermal conductivity

../../_images/fig_times24178.png

(b) Computation time