mp-14495-2/Li6ZnO4/anharm

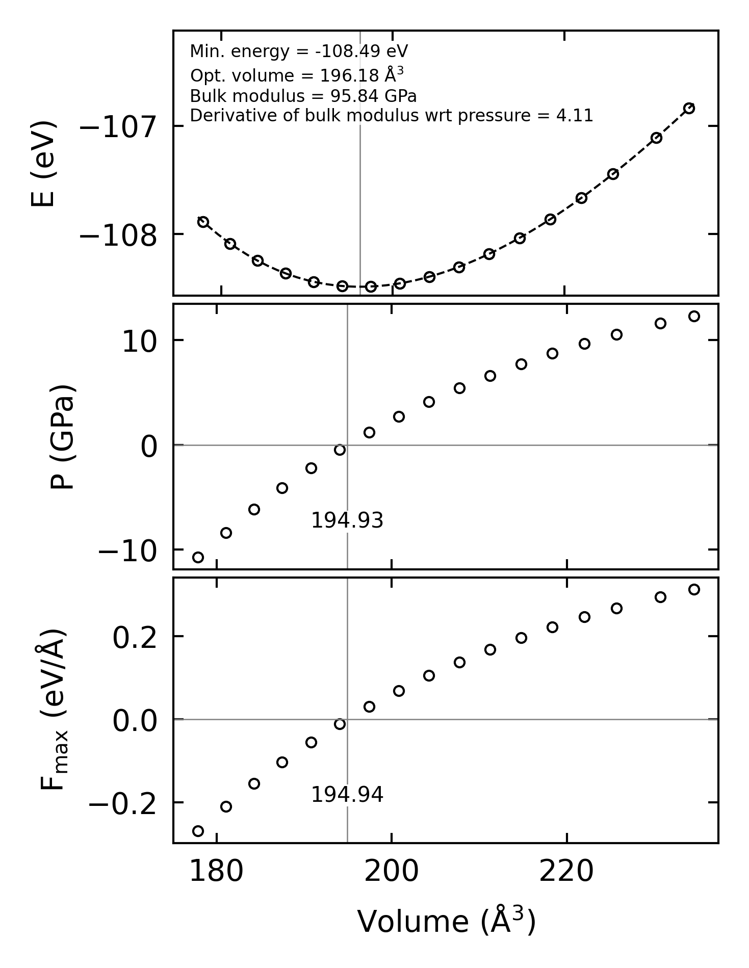
Equation of state

../../_images/fig_bm7418.png

(a) Equation of state

Harmonic properties

../../_images/fig_bandos_pr14822.png

(a) Phonon dispersion with participation ratio and DOS

../../_images/fig_thermo14822.png

(b) Thermodynamic properties

Grüneisen parameters

../../_images/fig_gru_all6353.png

(a) Grüneisen parameters

../../_images/fig_gruneisen6353.png

(b) Phonon dispersion with Grüneisen parameters

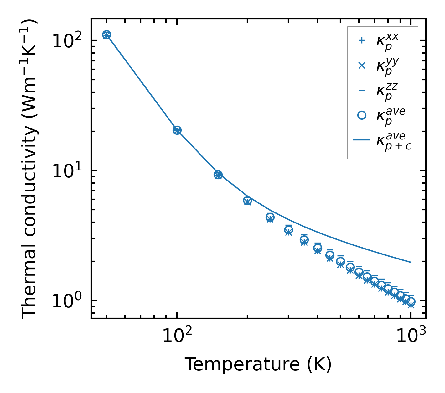
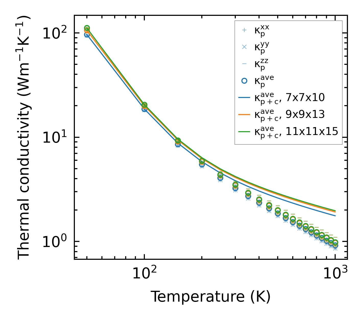
Thermal conductivity

3-phonon (LASSO) — q-mesh: 11x11x15, supercell: 1x1x2

../../_images/fig_kappa11948.png

(a) Temperature-dependent lattice thermal conductivity

../../_images/fig_kappa_vs_grain_size6429.png

(b) Peierls lattice thermal conductivity w.r.t grain size

Phonon lifetime and scattering rates

../../_images/fig_lifetime6288.png

(a) Phonon lifetime due to phonon-phonon scattering

../../_images/fig_scat_rates6287.png

(b) Phonon scattering rates

Cumulative and spectral thermal conductivity

../../_images/fig_cumu_frequency6288.png

(a) Spectral and cumulative thermal conductivity w.r.t frequency

../../_images/fig_cumu_mfp6287.png

(b) Spectral and cumulative thermal conductivity w.r.t MFP

Force constants

../../_images/fig_fc214440.png

(a) Force constants w.r.t atomic distance

Summary

../../_images/fig_kappa11949.png

(a) Temperature-dependent lattice thermal conductivity

../../_images/fig_times24601.png

(b) Computation time