mp-14493/Na5InO4/anharm

Harmonic properties

../../_images/fig_bandos19192.png

(a) Phonon dispersion and DOS

Thermal conductivity

Summary

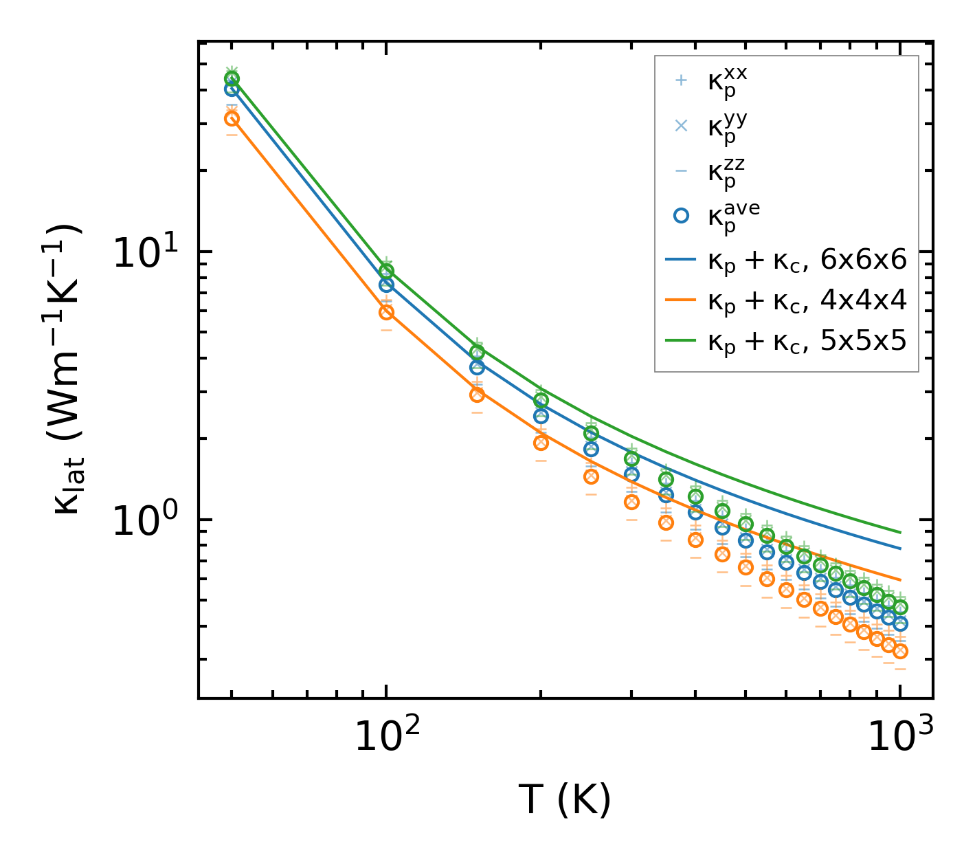
../../_images/fig_kappa11946.png

(a) Temperature-dependent lattice thermal conductivity

../../_images/fig_times24599.png

(b) Computation time