mp-14036-2/KRb2RhF6/harm

Equation of state

../../_images/fig_bm7332.png

(a) Equation of state

Harmonic properties

../../_images/fig_bandos_pr14670.png

(a) Phonon dispersion with participation ratio and DOS

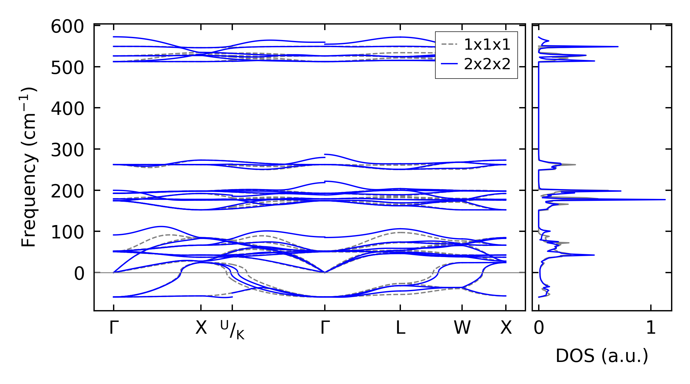
../../_images/fig_bandos19056.png

(b) Phonon dispersion and DOS

../../_images/fig_thermo14670.png

(c) Thermodynamic properties

Force constants

../../_images/fig_fc214289.png

(a) Force constants w.r.t atomic distance

Summary

../../_images/fig_times24404.png

(a) Computation time