mp-14304/Lu2MgS4/anharm

Harmonic properties

../../_images/fig_bandos_pr14749.png

(a) Phonon dispersion with participation ratio and DOS

../../_images/fig_thermo14749.png

(b) Thermodynamic properties

Grüneisen parameters

../../_images/fig_gru_all6322.png

(a) Grüneisen parameters

../../_images/fig_gruneisen6322.png

(b) Phonon dispersion with Grüneisen parameters

Thermal conductivity

3-phonon (LASSO) — q-mesh: 10x10x10, supercell: 1x1x1

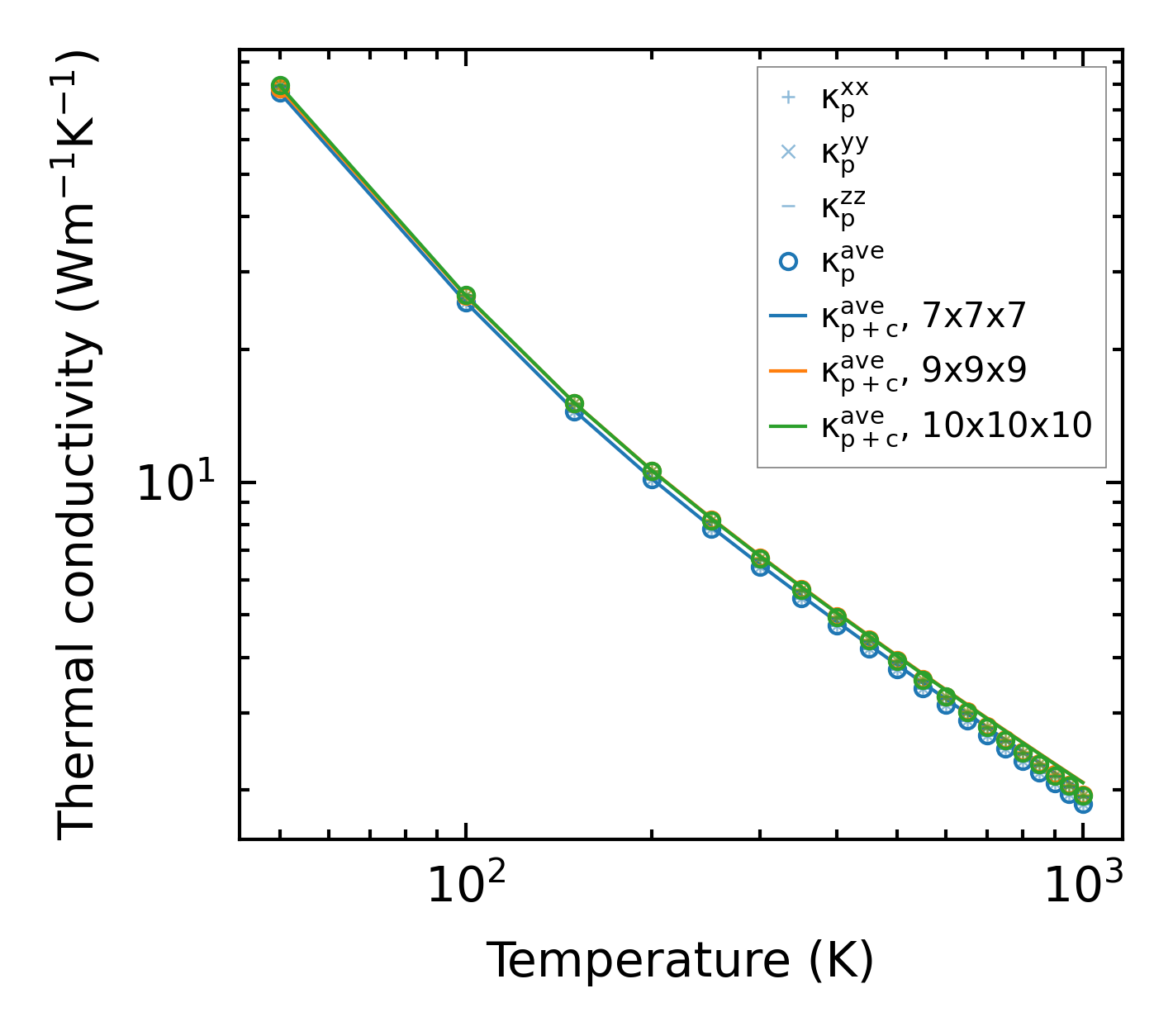
../../_images/fig_kappa11891.png

(a) Temperature-dependent lattice thermal conductivity

../../_images/fig_kappa_vs_grain_size6398.png

(b) Peierls lattice thermal conductivity w.r.t grain size

Phonon lifetime and scattering rates

../../_images/fig_lifetime6259.png

(a) Phonon lifetime due to phonon-phonon scattering

../../_images/fig_scat_rates6258.png

(b) Phonon scattering rates

Cumulative and spectral thermal conductivity

../../_images/fig_cumu_frequency6259.png

(a) Spectral and cumulative thermal conductivity w.r.t frequency

../../_images/fig_cumu_mfp6258.png

(b) Spectral and cumulative thermal conductivity w.r.t MFP

Force constants

../../_images/fig_fc214367.png

(a) Force constants w.r.t atomic distance

Summary

../../_images/fig_kappa11892.png

(a) Temperature-dependent lattice thermal conductivity

../../_images/fig_times24505.png

(b) Computation time