mp-14796/KPt2Se3/anharm

Harmonic properties

../../_images/fig_bandos_pr14531.png

(a) Phonon dispersion with participation ratio and DOS

../../_images/fig_thermo14531.png

(b) Thermodynamic properties

Grüneisen parameters

../../_images/fig_gru_all6224.png

(a) Grüneisen parameters

../../_images/fig_gruneisen6224.png

(b) Phonon dispersion with Grüneisen parameters

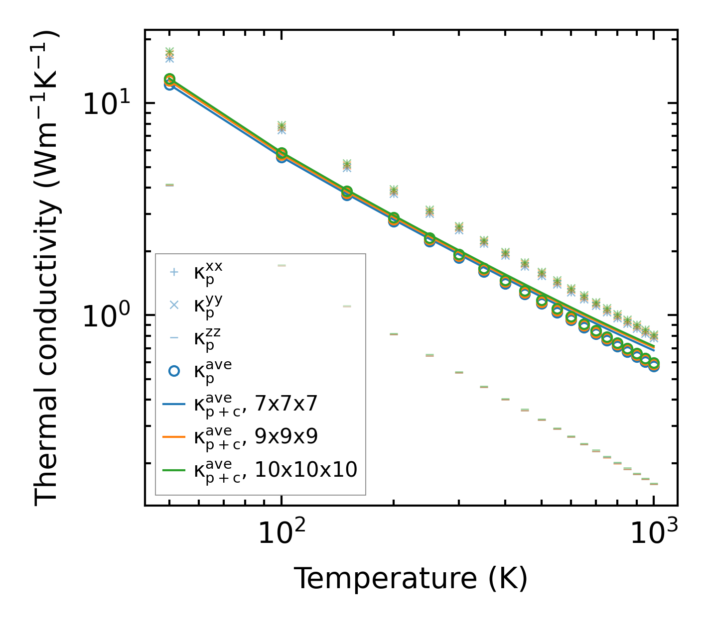
Thermal conductivity

3-phonon (LASSO) — q-mesh: 10x10x10, supercell: 2x2x1

../../_images/fig_kappa11711.png

(a) Temperature-dependent lattice thermal conductivity

../../_images/fig_kappa_vs_grain_size6302.png

(b) Peierls lattice thermal conductivity w.r.t grain size

Phonon lifetime and scattering rates

../../_images/fig_lifetime6163.png

(a) Phonon lifetime due to phonon-phonon scattering

../../_images/fig_scat_rates6162.png

(b) Phonon scattering rates

Cumulative and spectral thermal conductivity

../../_images/fig_cumu_frequency6163.png

(a) Spectral and cumulative thermal conductivity w.r.t frequency

../../_images/fig_cumu_mfp6162.png

(b) Spectral and cumulative thermal conductivity w.r.t MFP

Force constants

../../_images/fig_fc214150.png

(a) Force constants w.r.t atomic distance

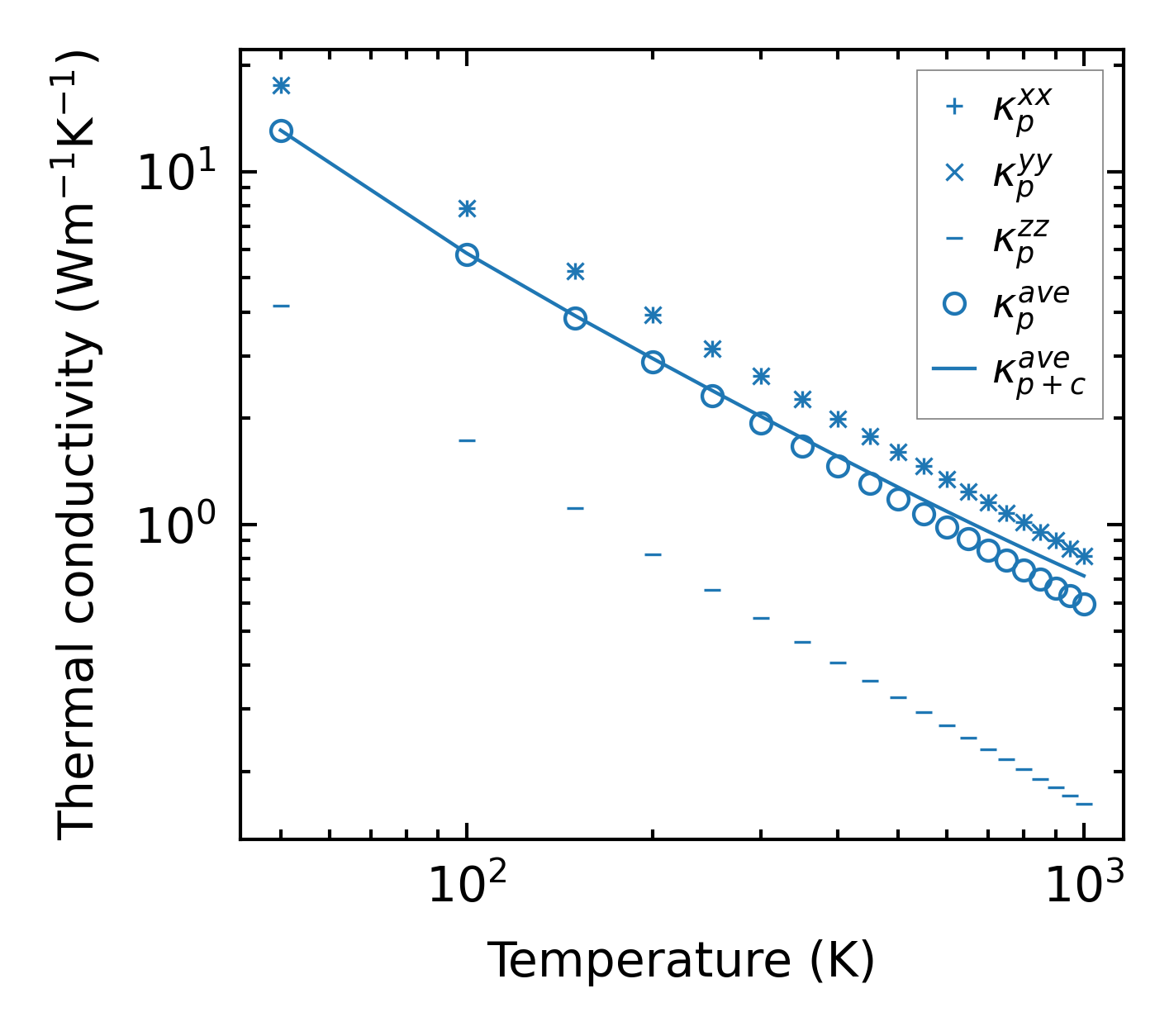
Summary

../../_images/fig_kappa11712.png

(a) Temperature-dependent lattice thermal conductivity

../../_images/fig_times24190.png

(b) Computation time