mp-14037/NaTl2RhF6/anharm

Harmonic properties

../../_images/fig_bandos_pr14671.png

(a) Phonon dispersion with participation ratio and DOS

../../_images/fig_thermo14671.png

(b) Thermodynamic properties

Grüneisen parameters

../../_images/fig_gru_all6281.png

(a) Grüneisen parameters

../../_images/fig_gruneisen6281.png

(b) Phonon dispersion with Grüneisen parameters

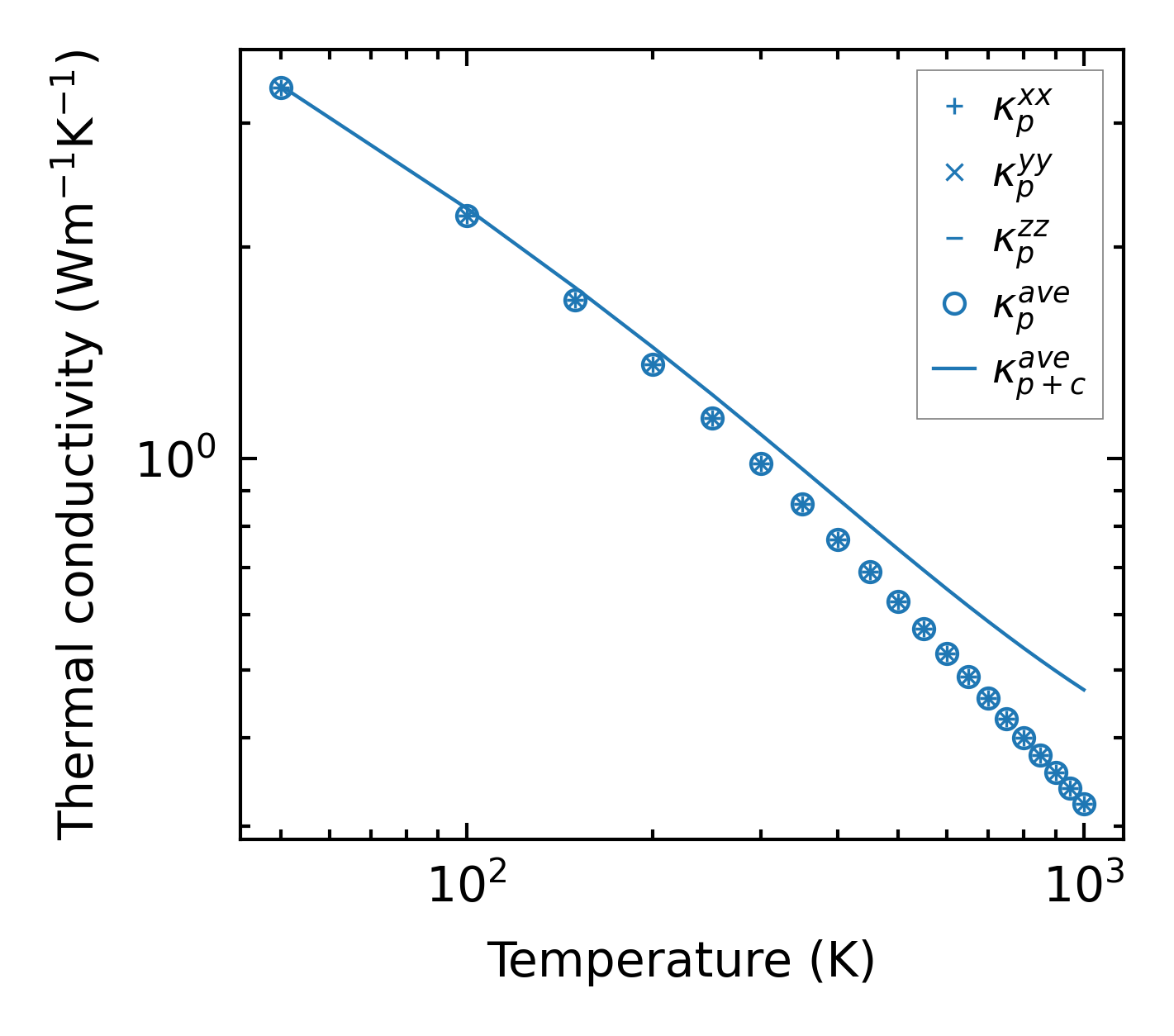
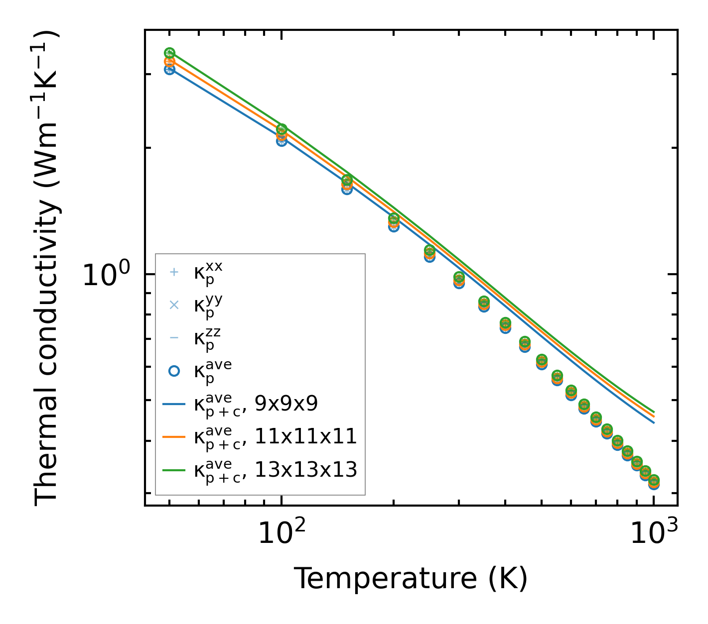
Thermal conductivity

3-phonon (LASSO) — q-mesh: 13x13x13, supercell: 1x1x1

../../_images/fig_kappa11815.png

(a) Temperature-dependent lattice thermal conductivity

../../_images/fig_kappa_vs_grain_size6358.png

(b) Peierls lattice thermal conductivity w.r.t grain size

Phonon lifetime and scattering rates

../../_images/fig_lifetime6219.png

(a) Phonon lifetime due to phonon-phonon scattering

../../_images/fig_scat_rates6218.png

(b) Phonon scattering rates

Cumulative and spectral thermal conductivity

../../_images/fig_cumu_frequency6219.png

(a) Spectral and cumulative thermal conductivity w.r.t frequency

../../_images/fig_cumu_mfp6218.png

(b) Spectral and cumulative thermal conductivity w.r.t MFP

Force constants

../../_images/fig_fc214290.png

(a) Force constants w.r.t atomic distance

Summary

../../_images/fig_kappa11816.png

(a) Temperature-dependent lattice thermal conductivity

../../_images/fig_times24405.png

(b) Computation time