mp-14638-2/Rb2LiGaF6/anharm

Equation of state

../../_images/fig_bm7251.png

(a) Equation of state

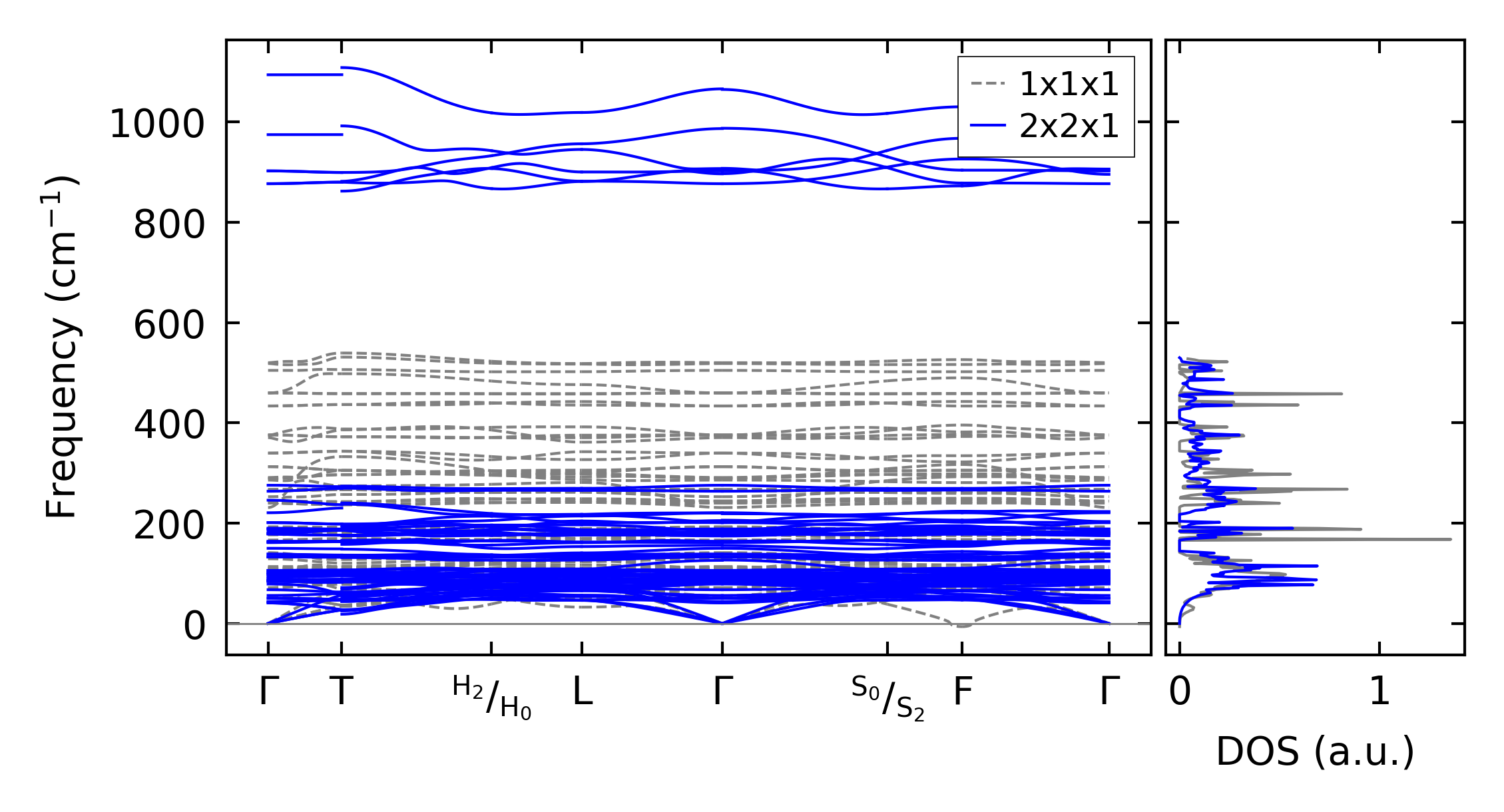
Harmonic properties

../../_images/fig_bandos_pr14505.png

(a) Phonon dispersion with participation ratio and DOS

../../_images/fig_bandos18858.png

(b) Phonon dispersion and DOS

../../_images/fig_thermo14505.png

(c) Thermodynamic properties

Grüneisen parameters

../../_images/fig_gru_all6211.png

(a) Grüneisen parameters

../../_images/fig_gruneisen6211.png

(b) Phonon dispersion with Grüneisen parameters

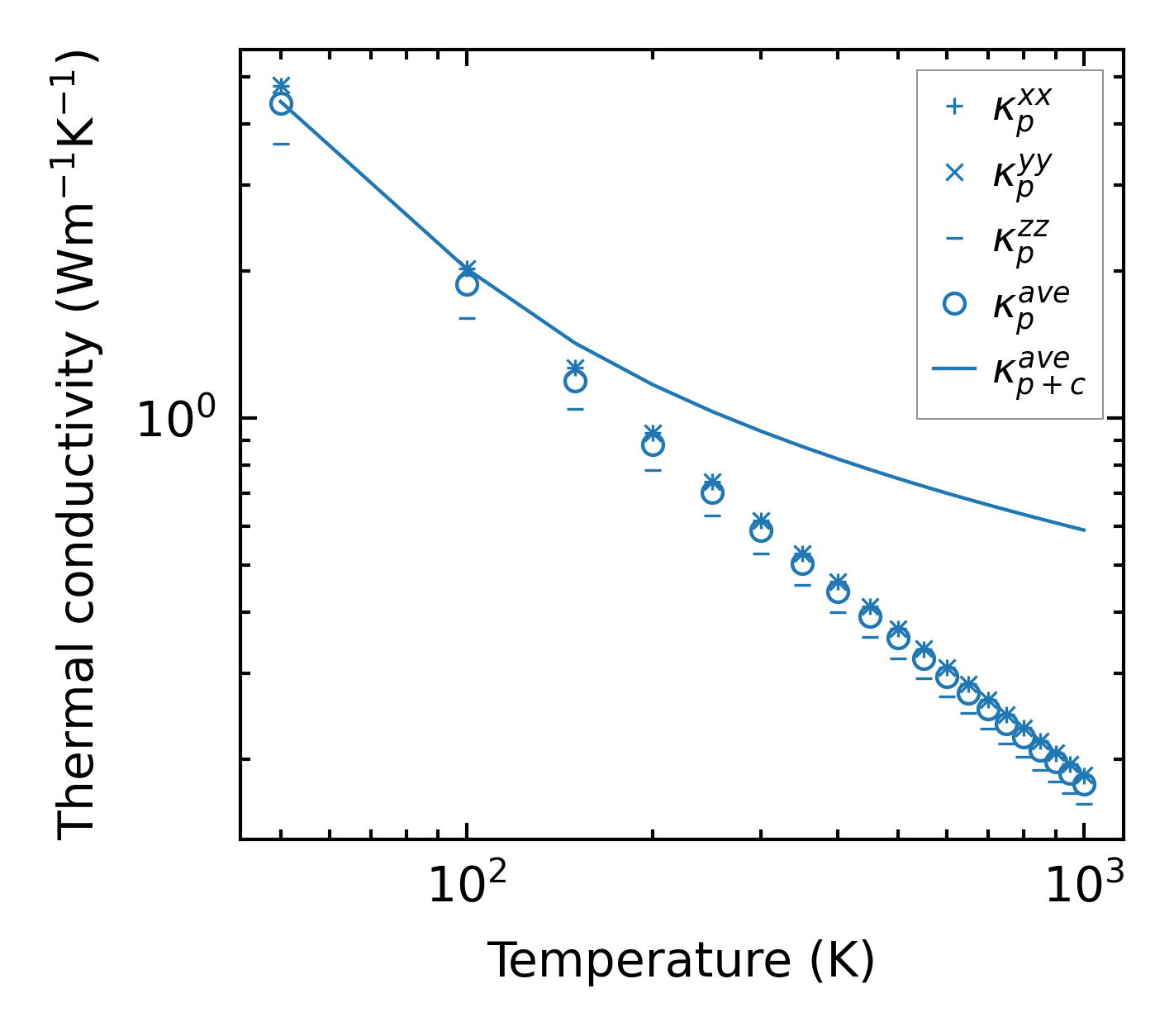
Thermal conductivity

3-phonon (LASSO), supercell 2x2x1 — q-mesh: 10x10x10, supercell: 2x2x1

../../_images/fig_kappa11686.png

(a) Temperature-dependent lattice thermal conductivity

../../_images/fig_kappa_vs_grain_size6289.png

(b) Peierls lattice thermal conductivity w.r.t grain size

Phonon lifetime and scattering rates

../../_images/fig_lifetime6150.png

(a) Phonon lifetime due to phonon-phonon scattering

../../_images/fig_scat_rates6149.png

(b) Phonon scattering rates

Cumulative and spectral thermal conductivity

../../_images/fig_cumu_frequency6150.png

(a) Spectral and cumulative thermal conductivity w.r.t frequency

../../_images/fig_cumu_mfp6149.png

(b) Spectral and cumulative thermal conductivity w.r.t MFP

Force constants

../../_images/fig_fc214124.png

(a) Force constants w.r.t atomic distance

Summary

../../_images/fig_times24148.png

(a) Computation time