mp-14193-2/K2ThF6/anharm

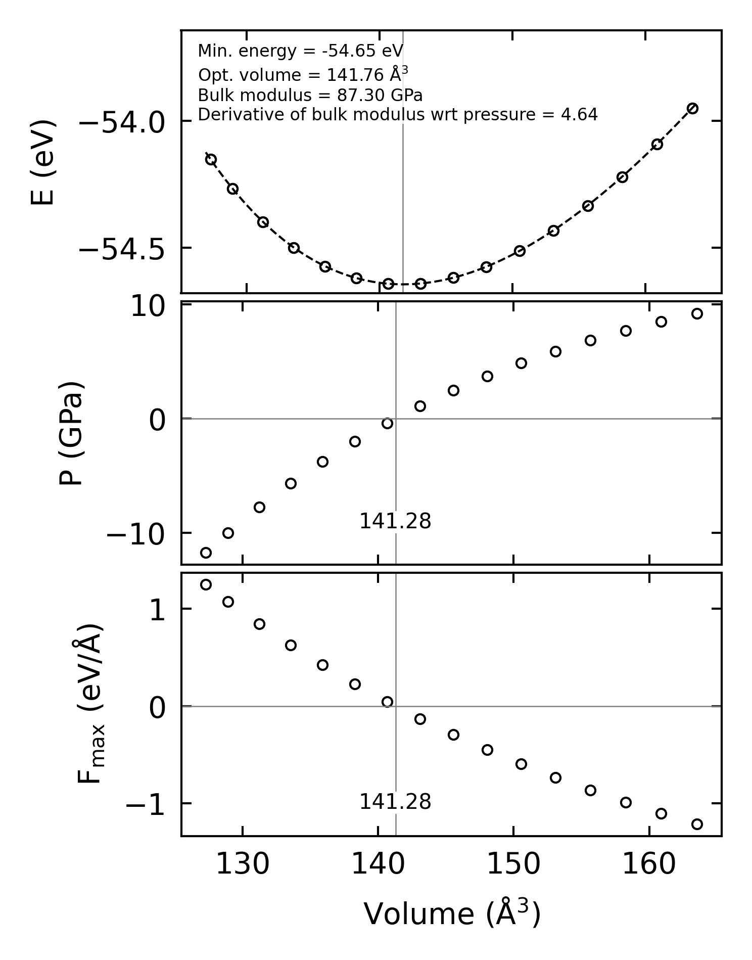
Equation of state

../../_images/fig_bm7357.png

(a) Equation of state

Harmonic properties

../../_images/fig_bandos_pr14720.png

(a) Phonon dispersion with participation ratio and DOS

../../_images/fig_thermo14720.png

(b) Thermodynamic properties

Grüneisen parameters

../../_images/fig_gru_all6305.png

(a) Grüneisen parameters

../../_images/fig_gruneisen6305.png

(b) Phonon dispersion with Grüneisen parameters

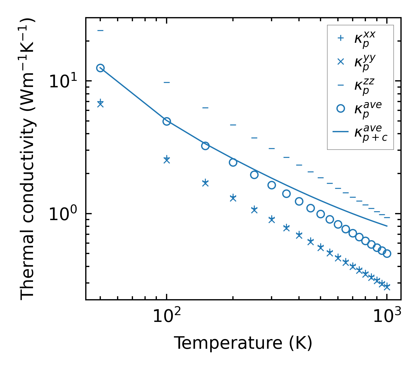
Thermal conductivity

3-phonon (LASSO) — q-mesh: 11x11x19, supercell: 2x2x4

../../_images/fig_kappa11859.png

(a) Temperature-dependent lattice thermal conductivity

../../_images/fig_kappa_vs_grain_size6381.png

(b) Peierls lattice thermal conductivity w.r.t grain size

Phonon lifetime and scattering rates

../../_images/fig_lifetime6242.png

(a) Phonon lifetime due to phonon-phonon scattering

../../_images/fig_scat_rates6241.png

(b) Phonon scattering rates

Cumulative and spectral thermal conductivity

../../_images/fig_cumu_frequency6242.png

(a) Spectral and cumulative thermal conductivity w.r.t frequency

../../_images/fig_cumu_mfp6241.png

(b) Spectral and cumulative thermal conductivity w.r.t MFP

Force constants

../../_images/fig_fc214338.png

(a) Force constants w.r.t atomic distance

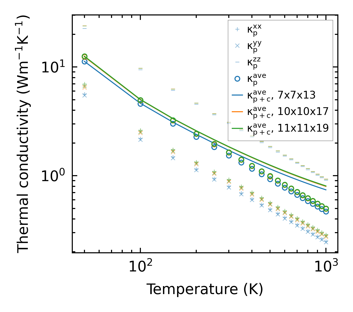
Summary

../../_images/fig_kappa11860.png

(a) Temperature-dependent lattice thermal conductivity

../../_images/fig_times24461.png

(b) Computation time