mp-14047-2/Al2Cd3Si3O12/anharm

Equation of state

../../_images/fig_bm7336.png

(a) Equation of state

Harmonic properties

../../_images/fig_bandos_pr14678.png

(a) Phonon dispersion with participation ratio and DOS

../../_images/fig_thermo14678.png

(b) Thermodynamic properties

Grüneisen parameters

../../_images/fig_gru_all6286.png

(a) Grüneisen parameters

../../_images/fig_gruneisen6286.png

(b) Phonon dispersion with Grüneisen parameters

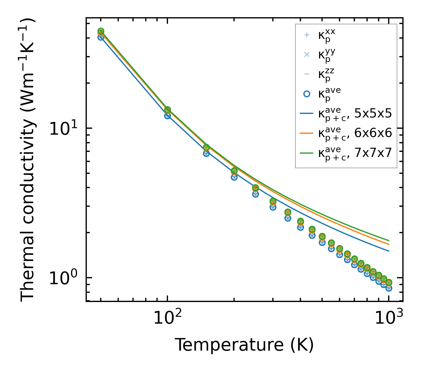
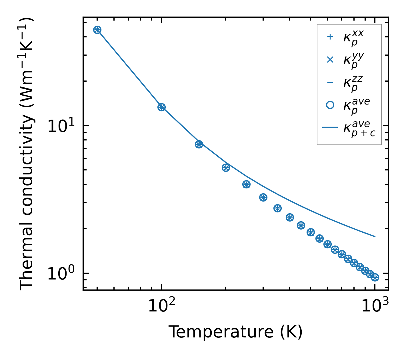
Thermal conductivity

3-phonon (LASSO) — q-mesh: 7x7x7, supercell: 1x1x1

../../_images/fig_kappa11825.png

(a) Temperature-dependent lattice thermal conductivity

../../_images/fig_kappa_vs_grain_size6363.png

(b) Peierls lattice thermal conductivity w.r.t grain size

Phonon lifetime and scattering rates

../../_images/fig_lifetime6224.png

(a) Phonon lifetime due to phonon-phonon scattering

../../_images/fig_scat_rates6223.png

(b) Phonon scattering rates

Cumulative and spectral thermal conductivity

../../_images/fig_cumu_frequency6224.png

(a) Spectral and cumulative thermal conductivity w.r.t frequency

../../_images/fig_cumu_mfp6223.png

(b) Spectral and cumulative thermal conductivity w.r.t MFP

Force constants

../../_images/fig_fc214297.png

(a) Force constants w.r.t atomic distance

Summary

../../_images/fig_kappa11826.png

(a) Temperature-dependent lattice thermal conductivity

../../_images/fig_times24412.png

(b) Computation time