mp-14324/K2Na4Be2O5/anharm

Equation of state

../../_images/fig_bm7382.png

(a) Equation of state

Harmonic properties

../../_images/fig_bandos_pr14758.png

(a) Phonon dispersion with participation ratio and DOS

../../_images/fig_thermo14758.png

(b) Thermodynamic properties

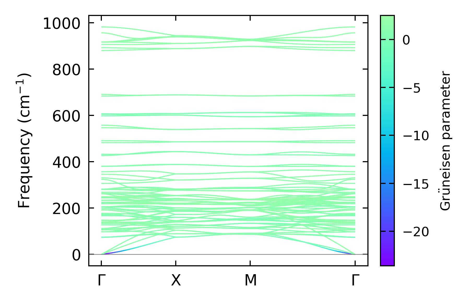
Grüneisen parameters

../../_images/fig_gru_all6326.png

(a) Grüneisen parameters

../../_images/fig_gruneisen6326.png

(b) Phonon dispersion with Grüneisen parameters

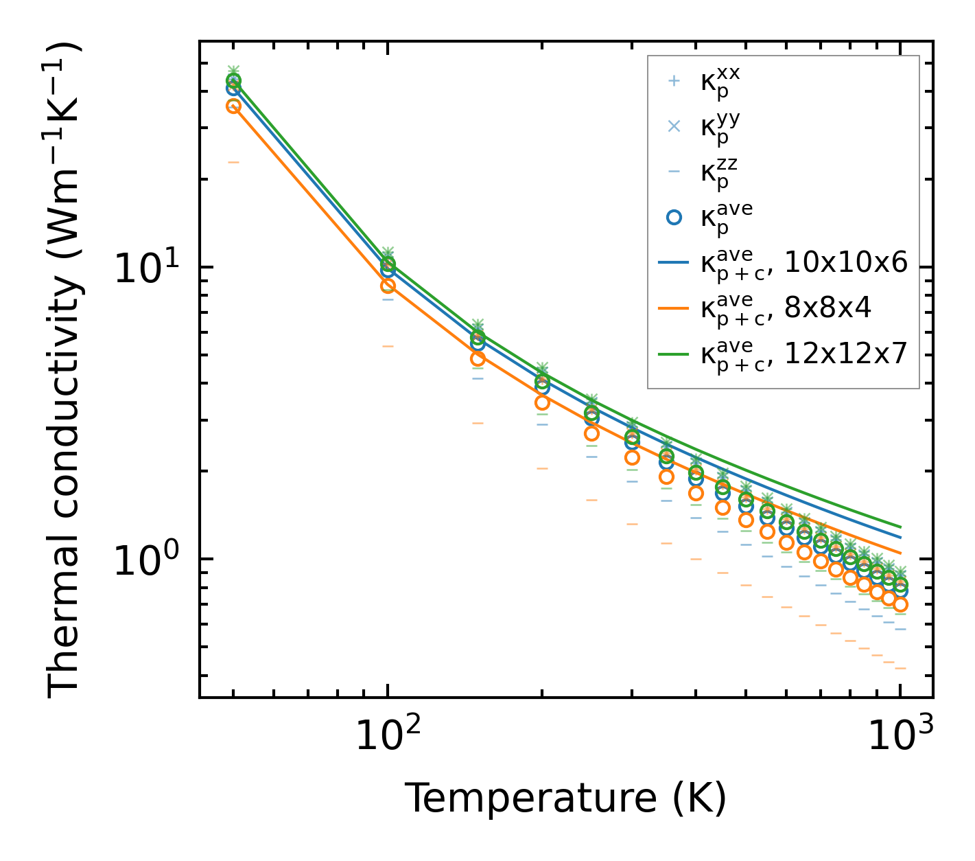
Thermal conductivity

3-phonon (LASSO) — q-mesh: 12x12x7, supercell: 2x2x1

../../_images/fig_kappa11899.png

(a) Temperature-dependent lattice thermal conductivity

../../_images/fig_kappa_vs_grain_size6402.png

(b) Peierls lattice thermal conductivity w.r.t grain size

Phonon lifetime and scattering rates

../../_images/fig_lifetime6263.png

(a) Phonon lifetime due to phonon-phonon scattering

../../_images/fig_scat_rates6262.png

(b) Phonon scattering rates

Cumulative and spectral thermal conductivity

../../_images/fig_cumu_frequency6263.png

(a) Spectral and cumulative thermal conductivity w.r.t frequency

../../_images/fig_cumu_mfp6262.png

(b) Spectral and cumulative thermal conductivity w.r.t MFP

Force constants

../../_images/fig_fc214376.png

(a) Force constants w.r.t atomic distance

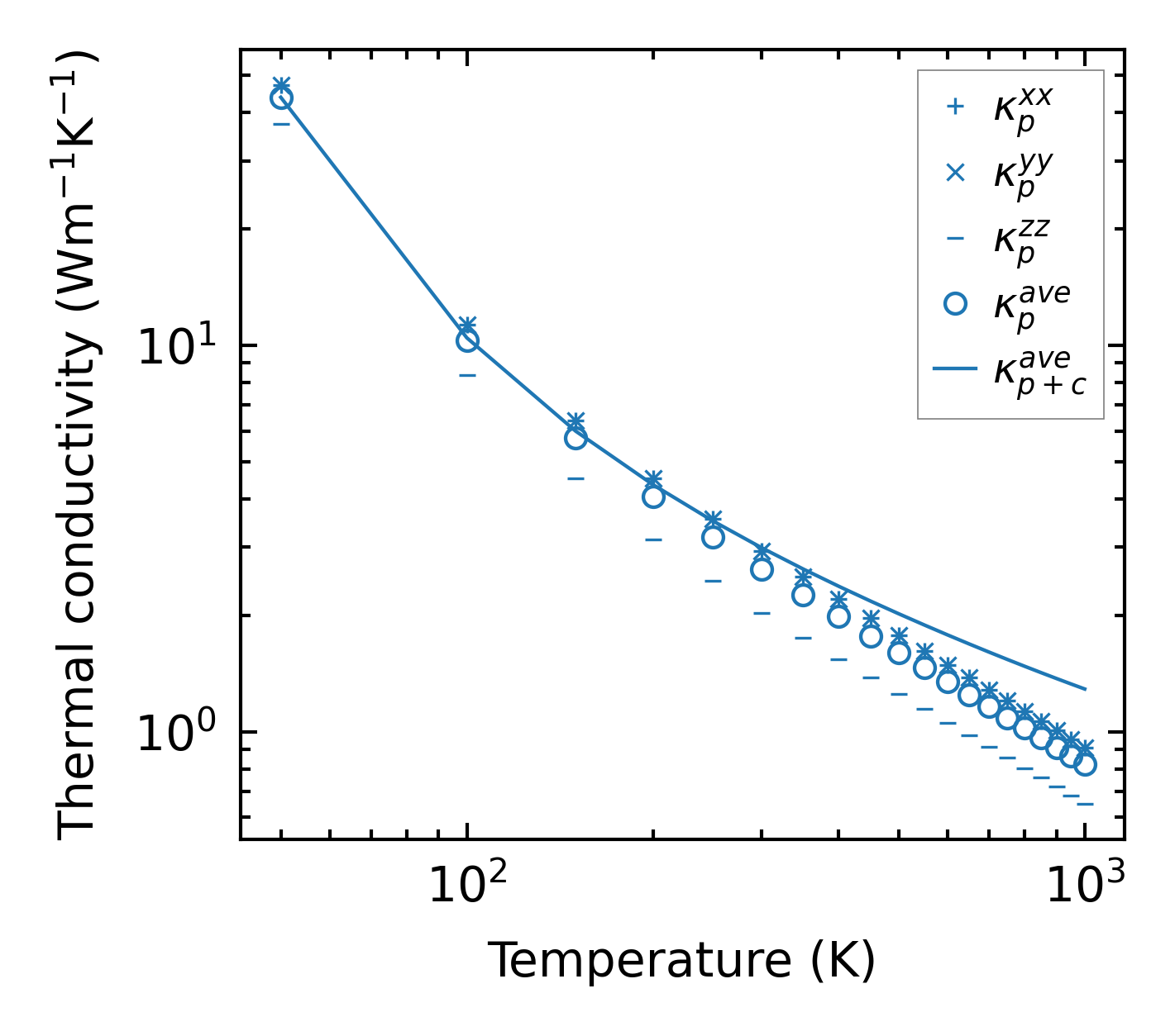
Summary

../../_images/fig_kappa11900.png

(a) Temperature-dependent lattice thermal conductivity

../../_images/fig_times24515.png

(b) Computation time