mp-14324-2/K2Na4Be2O5/anharm

Harmonic properties

../../_images/fig_bandos_pr14759.png

(a) Phonon dispersion with participation ratio and DOS

../../_images/fig_thermo14759.png

(b) Thermodynamic properties

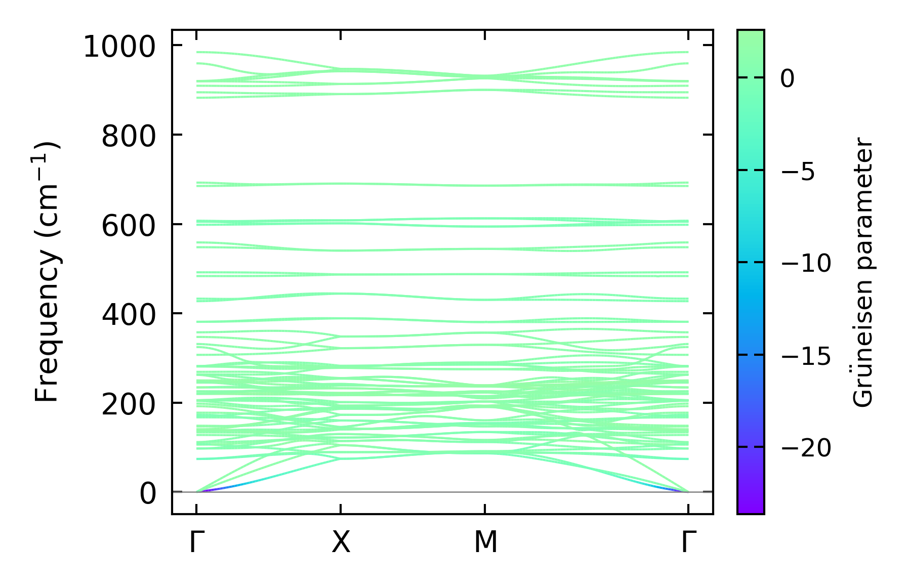
Grüneisen parameters

../../_images/fig_gru_all6327.png

(a) Grüneisen parameters

../../_images/fig_gruneisen6327.png

(b) Phonon dispersion with Grüneisen parameters

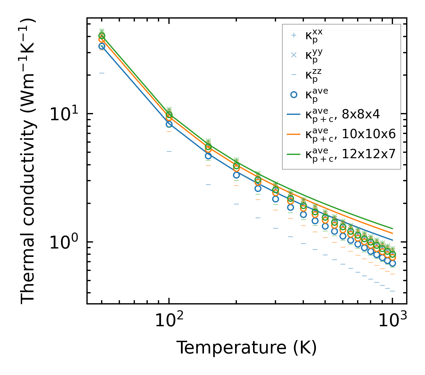
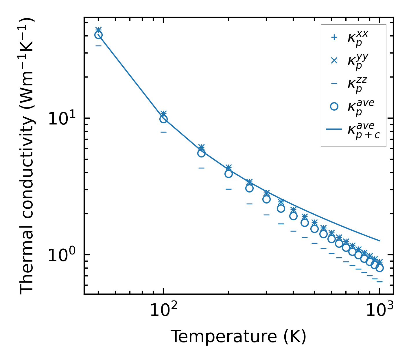
Thermal conductivity

3-phonon (LASSO) — q-mesh: 12x12x7, supercell: 2x2x1

../../_images/fig_kappa11901.png

(a) Temperature-dependent lattice thermal conductivity

../../_images/fig_kappa_vs_grain_size6403.png

(b) Peierls lattice thermal conductivity w.r.t grain size

Phonon lifetime and scattering rates

../../_images/fig_lifetime6264.png

(a) Phonon lifetime due to phonon-phonon scattering

../../_images/fig_scat_rates6263.png

(b) Phonon scattering rates

Cumulative and spectral thermal conductivity

../../_images/fig_cumu_frequency6264.png

(a) Spectral and cumulative thermal conductivity w.r.t frequency

../../_images/fig_cumu_mfp6263.png

(b) Spectral and cumulative thermal conductivity w.r.t MFP

Force constants

../../_images/fig_fc214377.png

(a) Force constants w.r.t atomic distance

Summary

../../_images/fig_kappa11902.png

(a) Temperature-dependent lattice thermal conductivity

../../_images/fig_times24516.png

(b) Computation time