mp-14134/Lu3Ga5O12/anharm

Equation of state

../../_images/fig_bm7348.png

(a) Equation of state

Harmonic properties

../../_images/fig_bandos_pr14704.png

(a) Phonon dispersion with participation ratio and DOS

../../_images/fig_thermo14704.png

(b) Thermodynamic properties

Grüneisen parameters

../../_images/fig_gru_all6300.png

(a) Grüneisen parameters

../../_images/fig_gruneisen6300.png

(b) Phonon dispersion with Grüneisen parameters

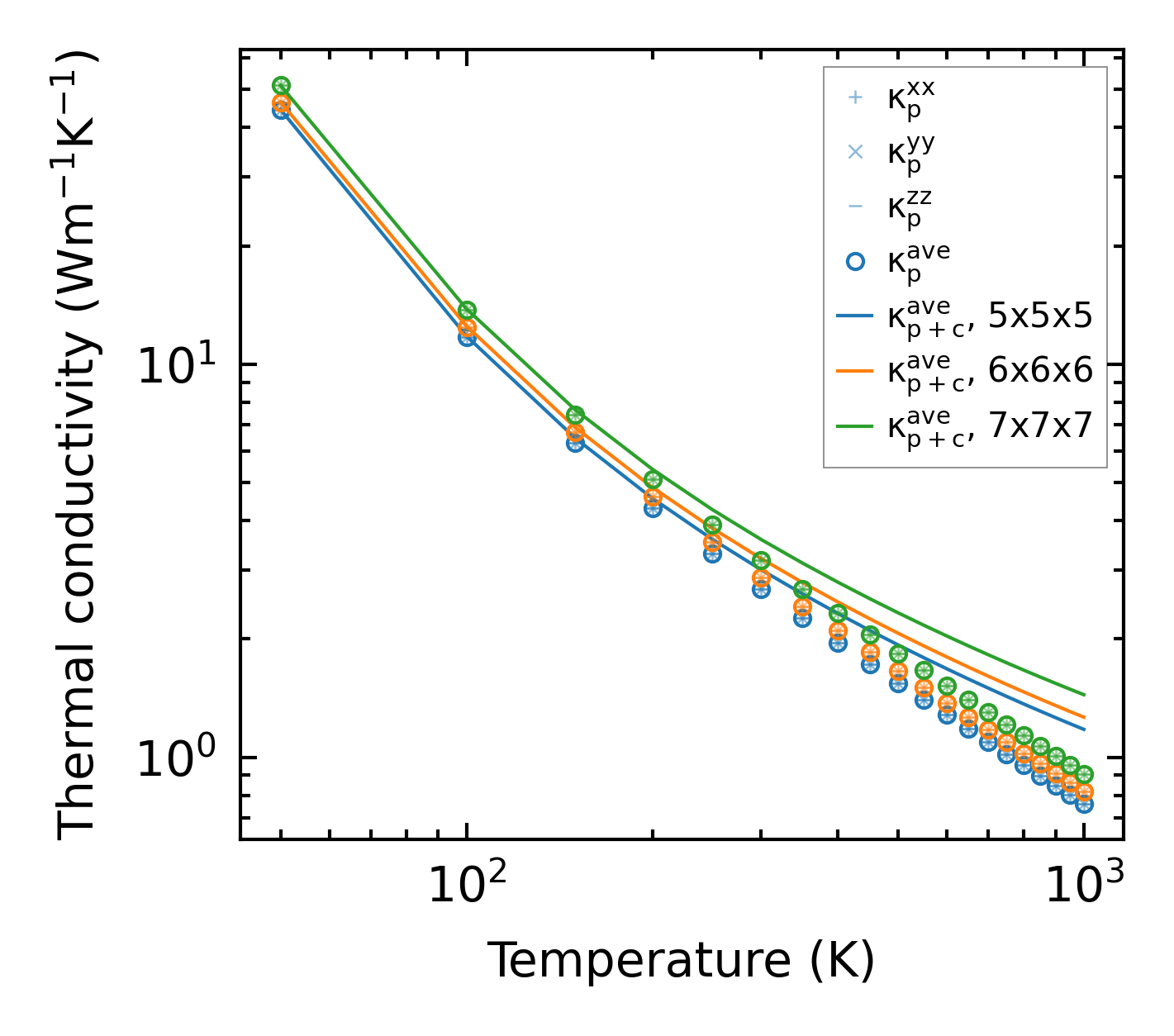
Thermal conductivity

3-phonon (LASSO) — q-mesh: 7x7x7, supercell: 1x1x1

../../_images/fig_kappa11851.png

(a) Temperature-dependent lattice thermal conductivity

../../_images/fig_kappa_vs_grain_size6377.png

(b) Peierls lattice thermal conductivity w.r.t grain size

Phonon lifetime and scattering rates

../../_images/fig_lifetime6238.png

(a) Phonon lifetime due to phonon-phonon scattering

../../_images/fig_scat_rates6237.png

(b) Phonon scattering rates

Cumulative and spectral thermal conductivity

../../_images/fig_cumu_frequency6238.png

(a) Spectral and cumulative thermal conductivity w.r.t frequency

../../_images/fig_cumu_mfp6237.png

(b) Spectral and cumulative thermal conductivity w.r.t MFP

Force constants

../../_images/fig_fc214322.png

(a) Force constants w.r.t atomic distance

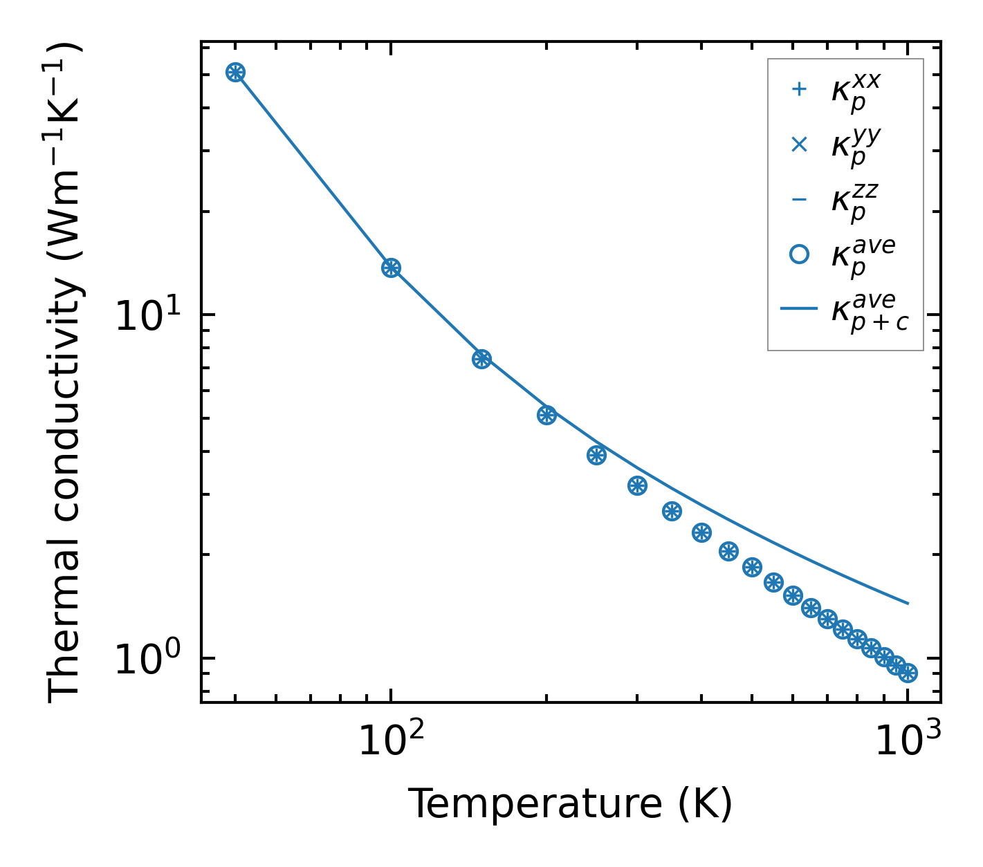
Summary

../../_images/fig_kappa11852.png

(a) Temperature-dependent lattice thermal conductivity

../../_images/fig_times24442.png

(b) Computation time