mp-14011/AlP3O9/anharm

Harmonic properties

../../_images/fig_bandos_pr14661.png

(a) Phonon dispersion with participation ratio and DOS

../../_images/fig_thermo14661.png

(b) Thermodynamic properties

Grüneisen parameters

../../_images/fig_gru_all6276.png

(a) Grüneisen parameters

../../_images/fig_gruneisen6276.png

(b) Phonon dispersion with Grüneisen parameters

Thermal conductivity

3-phonon (LASSO) — q-mesh: 6x6x6, supercell: 1x1x1

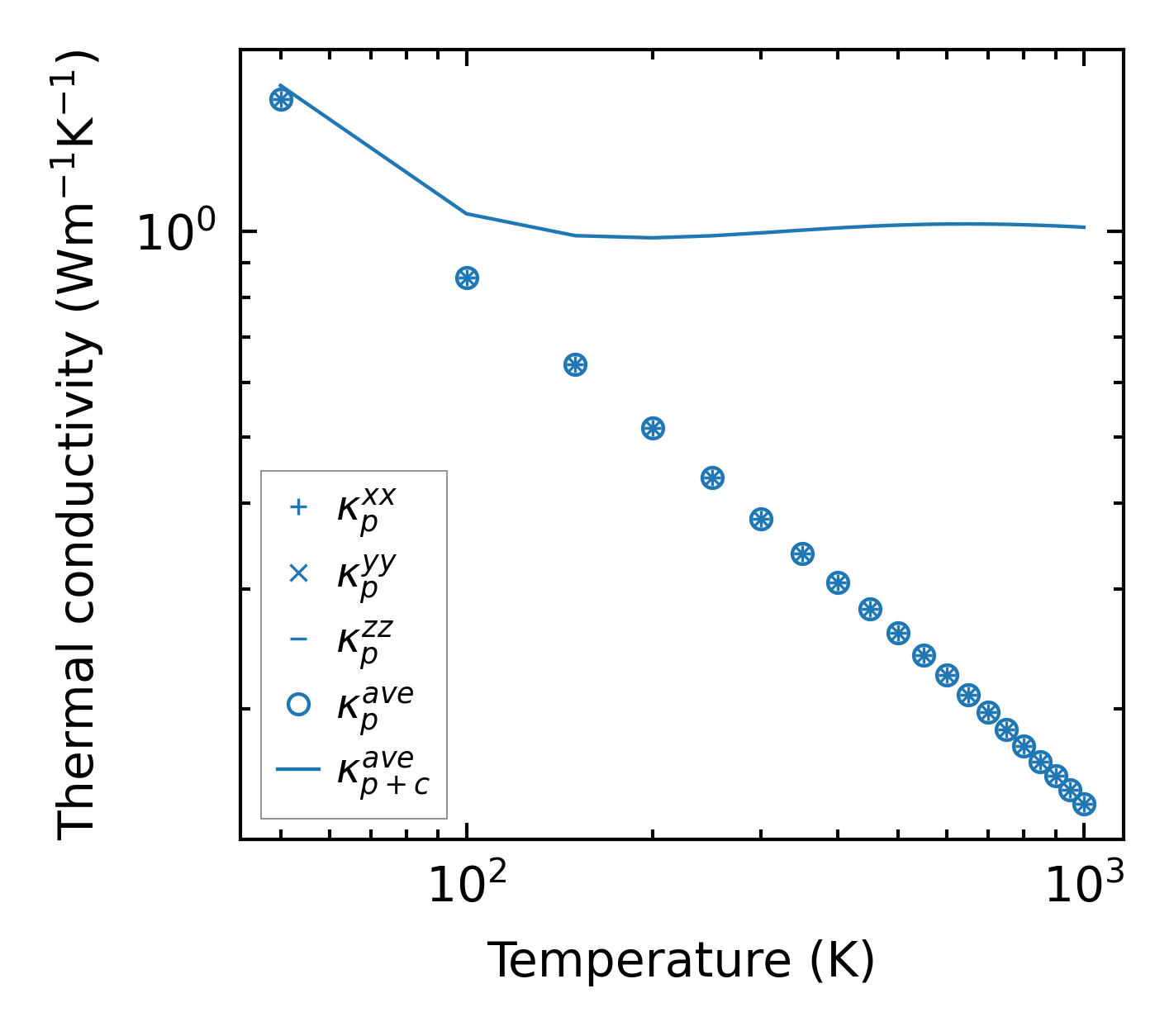
../../_images/fig_kappa11805.png

(a) Temperature-dependent lattice thermal conductivity

../../_images/fig_kappa_vs_grain_size6353.png

(b) Peierls lattice thermal conductivity w.r.t grain size

Phonon lifetime and scattering rates

../../_images/fig_lifetime6214.png

(a) Phonon lifetime due to phonon-phonon scattering

../../_images/fig_scat_rates6213.png

(b) Phonon scattering rates

Cumulative and spectral thermal conductivity

../../_images/fig_cumu_frequency6214.png

(a) Spectral and cumulative thermal conductivity w.r.t frequency

../../_images/fig_cumu_mfp6213.png

(b) Spectral and cumulative thermal conductivity w.r.t MFP

Force constants

../../_images/fig_fc214280.png

(a) Force constants w.r.t atomic distance

Summary

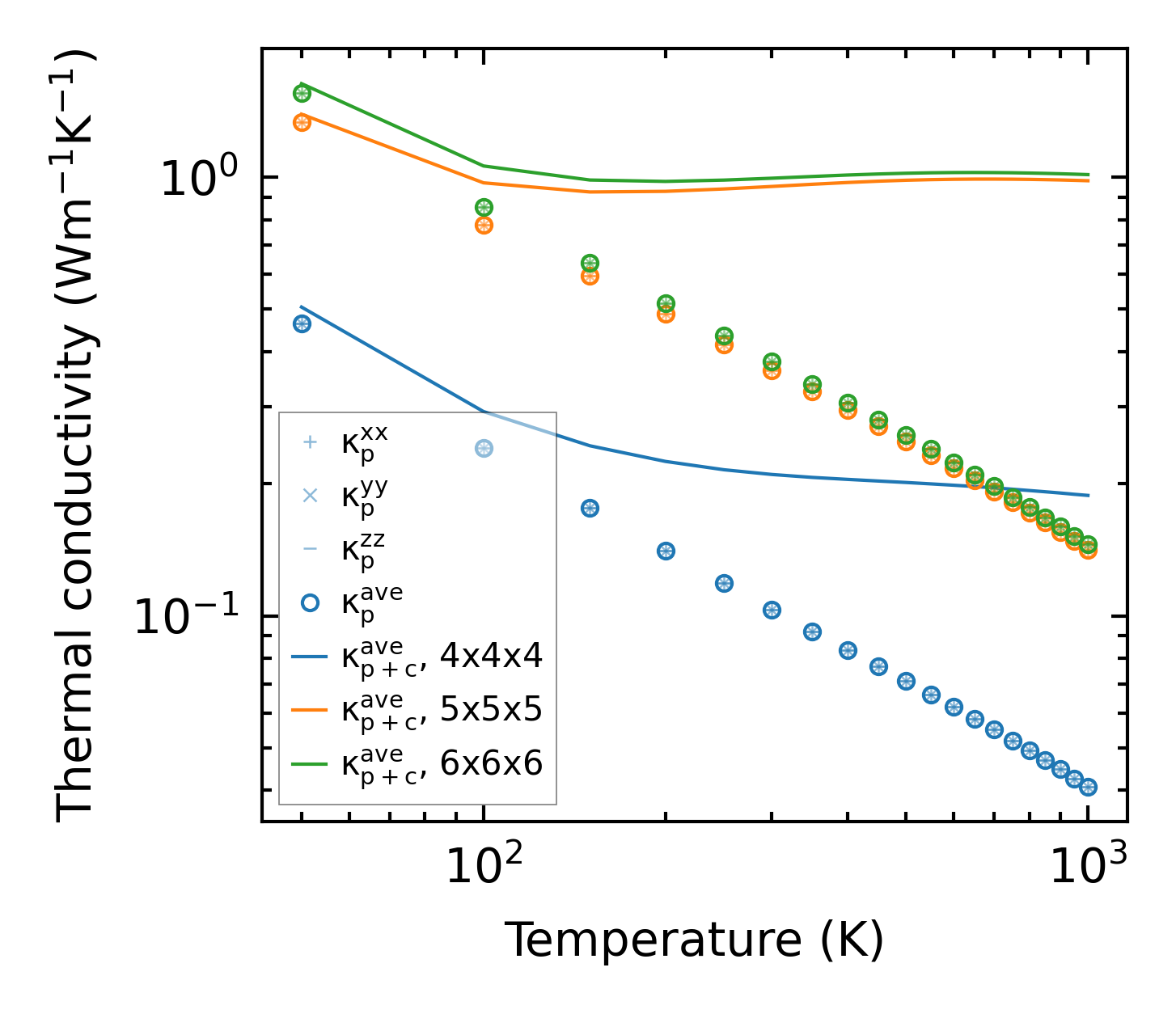
../../_images/fig_kappa11806.png

(a) Temperature-dependent lattice thermal conductivity

../../_images/fig_times24393.png

(b) Computation time