mp-14588-2/Na2PtSe2/anharm

Equation of state

../../_images/fig_bm7241.png

(a) Equation of state

Harmonic properties

../../_images/fig_bandos_pr14491.png

(a) Phonon dispersion with participation ratio and DOS

../../_images/fig_bandos18849.png

(b) Phonon dispersion and DOS

../../_images/fig_thermo14491.png

(c) Thermodynamic properties

Grüneisen parameters

../../_images/fig_gru_all6199.png

(a) Grüneisen parameters

../../_images/fig_gruneisen6199.png

(b) Phonon dispersion with Grüneisen parameters

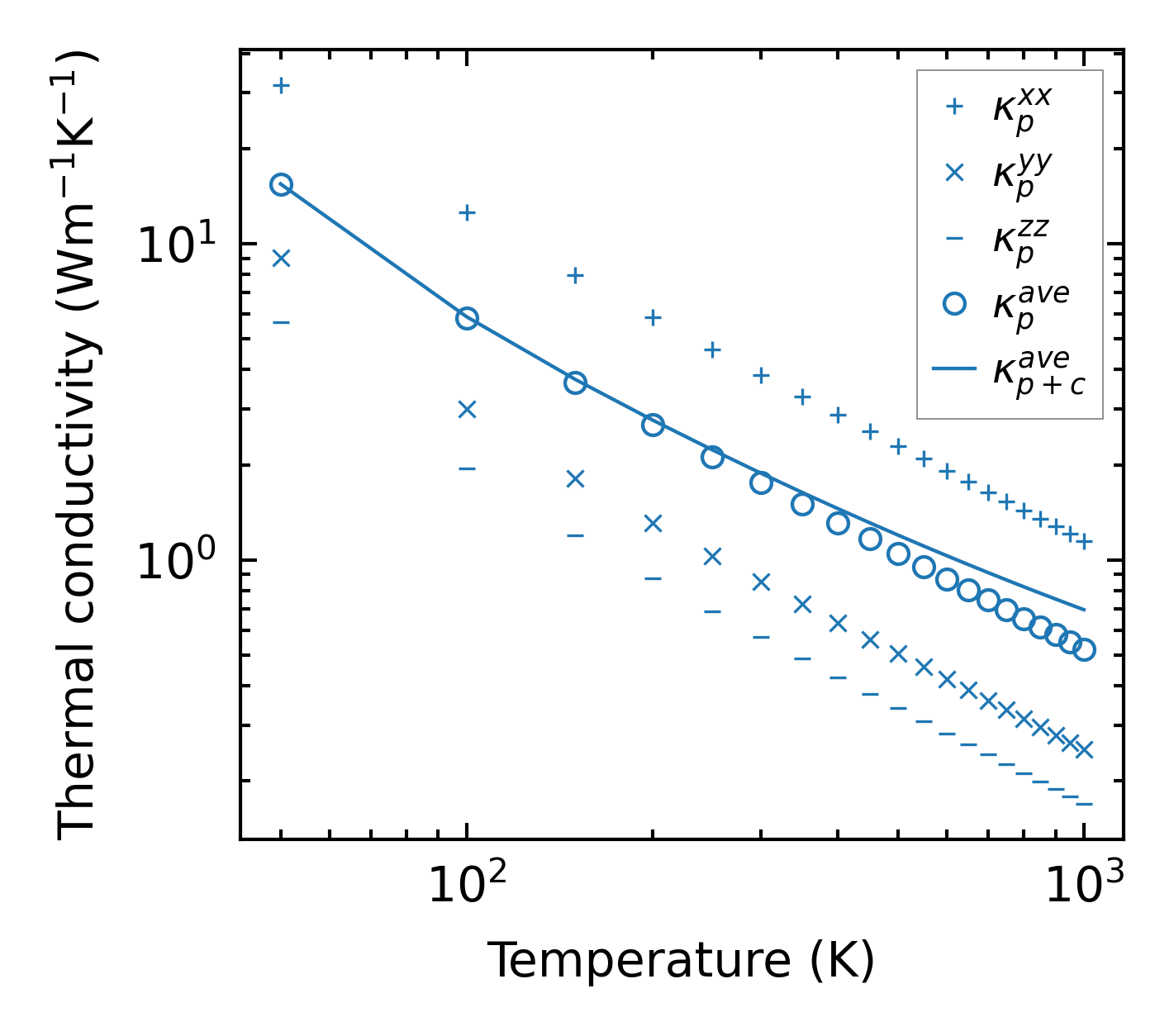
Thermal conductivity

3-phonon (LASSO), supercell 4x2x1 — q-mesh: 14x14x7, supercell: 4x2x1

../../_images/fig_kappa11663.png

(a) Temperature-dependent lattice thermal conductivity

../../_images/fig_kappa_vs_grain_size6277.png

(b) Peierls lattice thermal conductivity w.r.t grain size

Phonon lifetime and scattering rates

../../_images/fig_lifetime6138.png

(a) Phonon lifetime due to phonon-phonon scattering

../../_images/fig_scat_rates6137.png

(b) Phonon scattering rates

Cumulative and spectral thermal conductivity

../../_images/fig_cumu_frequency6138.png

(a) Spectral and cumulative thermal conductivity w.r.t frequency

../../_images/fig_cumu_mfp6137.png

(b) Spectral and cumulative thermal conductivity w.r.t MFP

Force constants

../../_images/fig_fc214110.png

(a) Force constants w.r.t atomic distance

Summary

../../_images/fig_times24128.png

(a) Computation time