mp-14285-2/CoP2/anharm

Equation of state

../../_images/fig_bm7373.png

(a) Equation of state

Harmonic properties

../../_images/fig_bandos_pr14742.png

(a) Phonon dispersion with participation ratio and DOS

../../_images/fig_thermo14742.png

(b) Thermodynamic properties

Grüneisen parameters

../../_images/fig_gru_all6321.png

(a) Grüneisen parameters

../../_images/fig_gruneisen6321.png

(b) Phonon dispersion with Grüneisen parameters

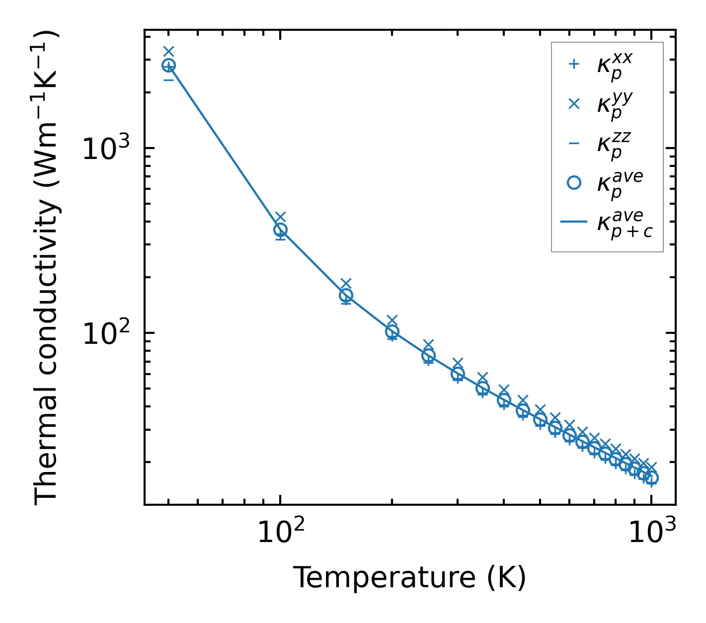
Thermal conductivity

3-phonon (LASSO) — q-mesh: 13x13x13, supercell: 3x2x2

../../_images/fig_kappa11889.png

(a) Temperature-dependent lattice thermal conductivity

../../_images/fig_kappa_vs_grain_size6397.png

(b) Peierls lattice thermal conductivity w.r.t grain size

Phonon lifetime and scattering rates

../../_images/fig_lifetime6258.png

(a) Phonon lifetime due to phonon-phonon scattering

../../_images/fig_scat_rates6257.png

(b) Phonon scattering rates

Cumulative and spectral thermal conductivity

../../_images/fig_cumu_frequency6258.png

(a) Spectral and cumulative thermal conductivity w.r.t frequency

../../_images/fig_cumu_mfp6257.png

(b) Spectral and cumulative thermal conductivity w.r.t MFP

Force constants

../../_images/fig_fc214360.png

(a) Force constants w.r.t atomic distance

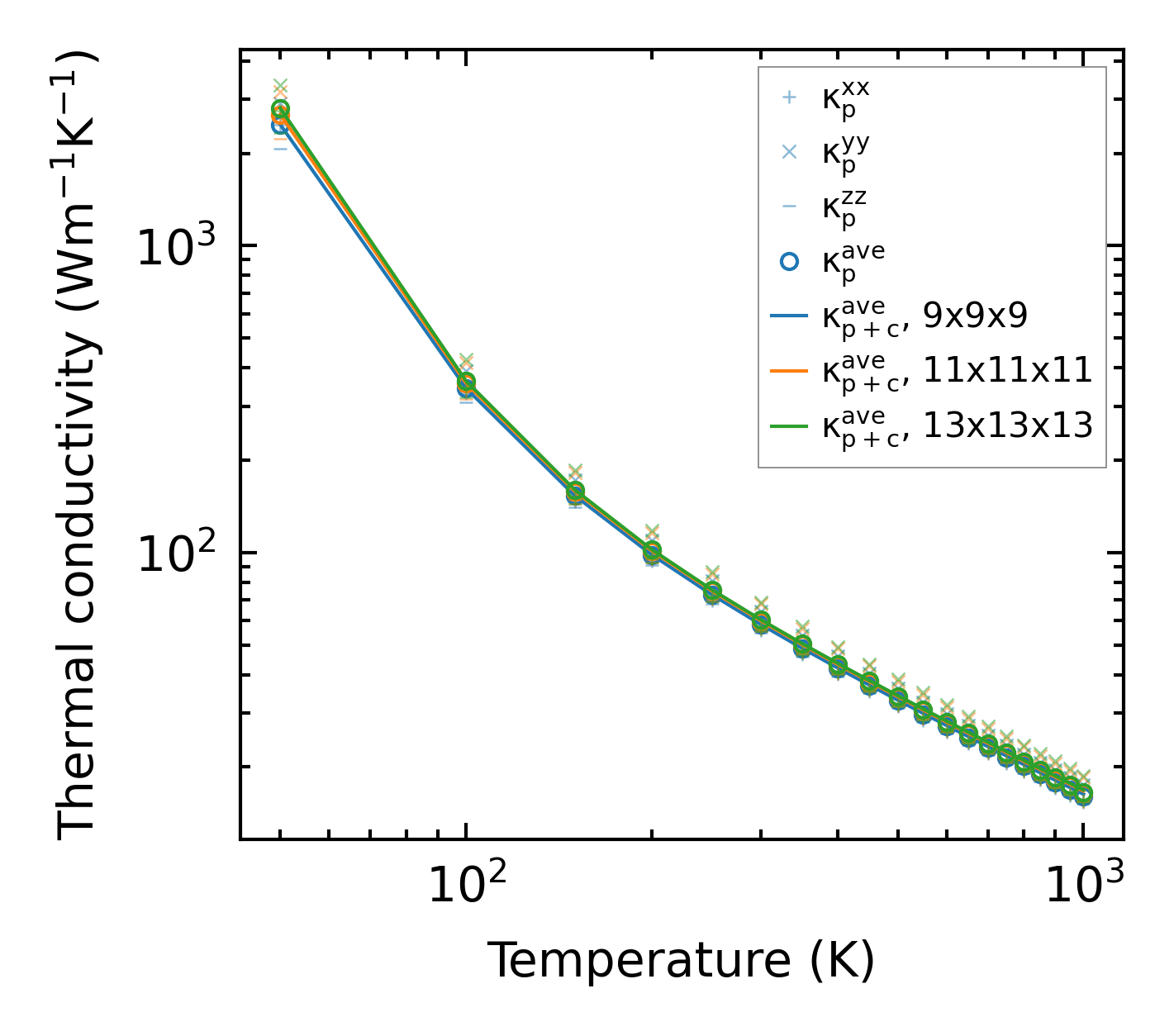
Summary

../../_images/fig_kappa11890.png

(a) Temperature-dependent lattice thermal conductivity

../../_images/fig_times24498.png

(b) Computation time