mp-14447/Ba2SiSe4/anharm

Harmonic properties

../../_images/fig_bandos19181.png

(a) Phonon dispersion and DOS

Thermal conductivity

Summary

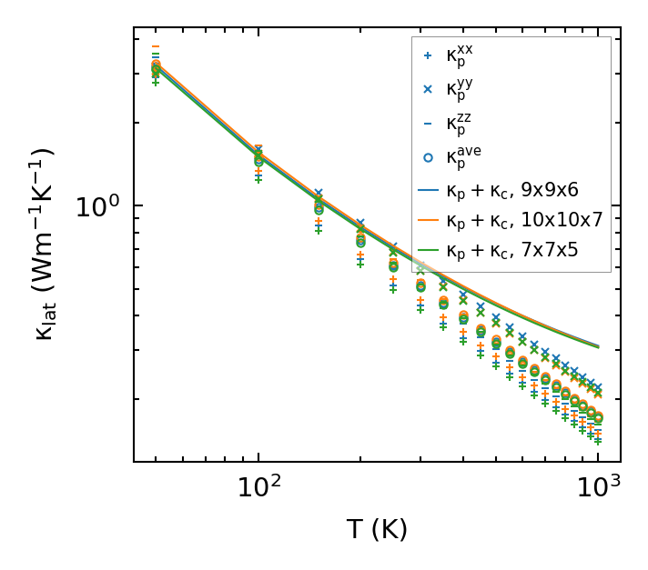
../../_images/fig_kappa11938.png

(a) Temperature-dependent lattice thermal conductivity

../../_images/fig_times24586.png

(b) Computation time