mp-14324-3/K2Na4Be2O5/anharm

Equation of state

../../_images/fig_bm7383.png

(a) Equation of state

Harmonic properties

../../_images/fig_bandos_pr14760.png

(a) Phonon dispersion with participation ratio and DOS

../../_images/fig_thermo14760.png

(b) Thermodynamic properties

Grüneisen parameters

../../_images/fig_gru_all6328.png

(a) Grüneisen parameters

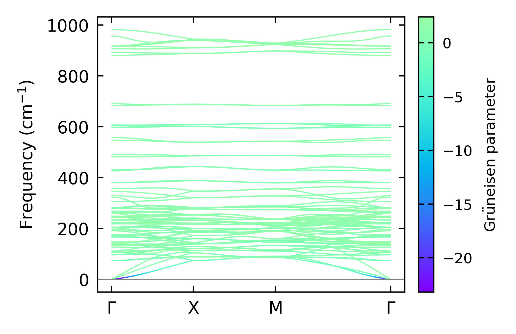
../../_images/fig_gruneisen6328.png

(b) Phonon dispersion with Grüneisen parameters

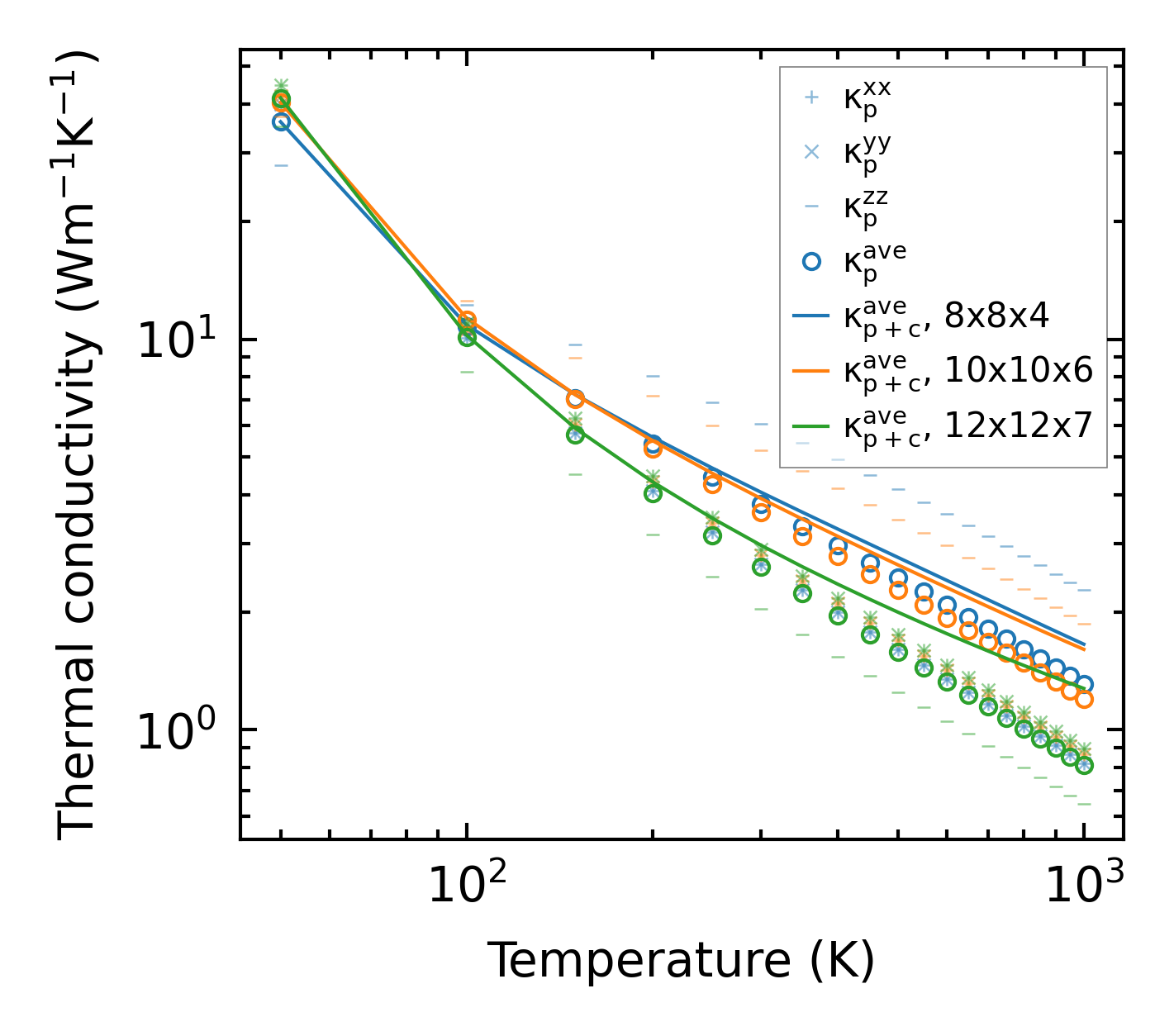
Thermal conductivity

3-phonon (LASSO) — q-mesh: 12x12x7, supercell: 2x2x1

../../_images/fig_kappa11903.png

(a) Temperature-dependent lattice thermal conductivity

../../_images/fig_kappa_vs_grain_size6404.png

(b) Peierls lattice thermal conductivity w.r.t grain size

Phonon lifetime and scattering rates

../../_images/fig_lifetime6265.png

(a) Phonon lifetime due to phonon-phonon scattering

../../_images/fig_scat_rates6264.png

(b) Phonon scattering rates

Cumulative and spectral thermal conductivity

../../_images/fig_cumu_frequency6265.png

(a) Spectral and cumulative thermal conductivity w.r.t frequency

../../_images/fig_cumu_mfp6264.png

(b) Spectral and cumulative thermal conductivity w.r.t MFP

Force constants

../../_images/fig_fc214378.png

(a) Force constants w.r.t atomic distance

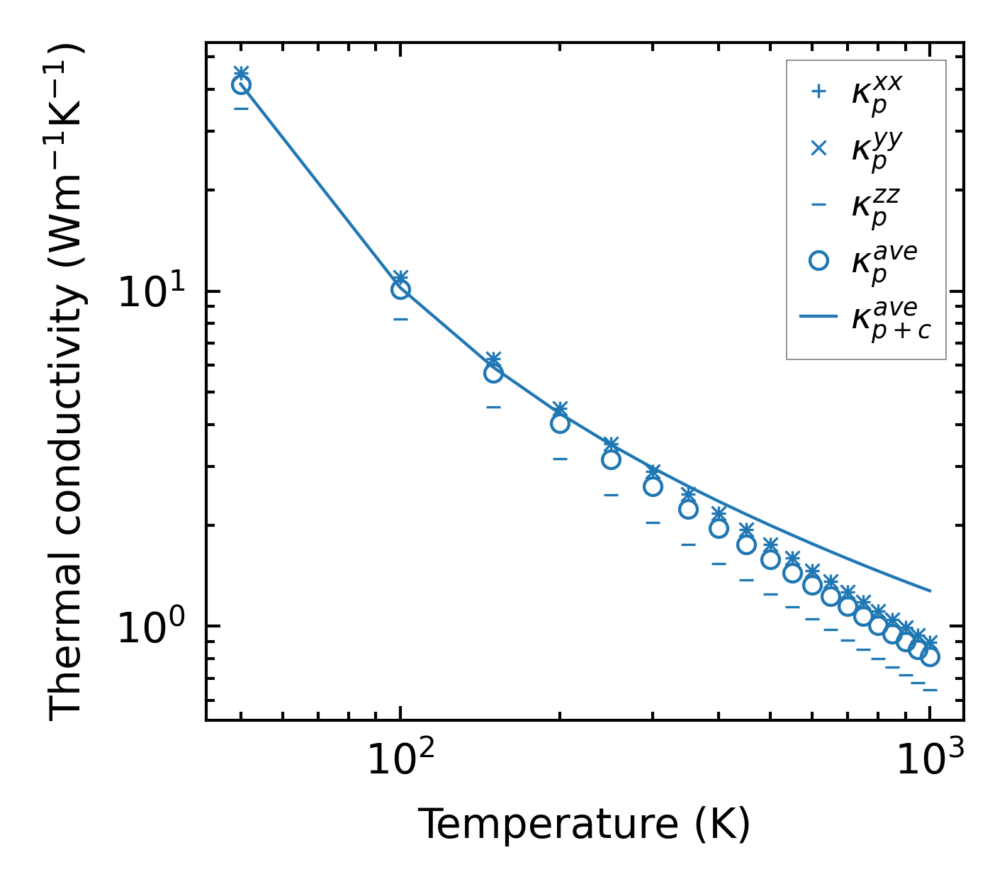
Summary

../../_images/fig_kappa11904.png

(a) Temperature-dependent lattice thermal conductivity

../../_images/fig_times24517.png

(b) Computation time