mp-14002-2/Ba4GeAs4/anharm

Equation of state

../../_images/fig_bm7327.png

(a) Equation of state

Harmonic properties

../../_images/fig_bandos_pr14659.png

(a) Phonon dispersion with participation ratio and DOS

../../_images/fig_thermo14659.png

(b) Thermodynamic properties

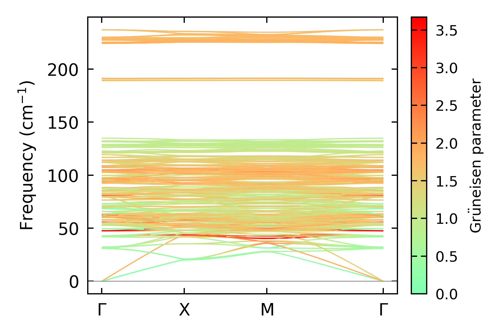
Grüneisen parameters

../../_images/fig_gru_all6274.png

(a) Grüneisen parameters

../../_images/fig_gruneisen6274.png

(b) Phonon dispersion with Grüneisen parameters

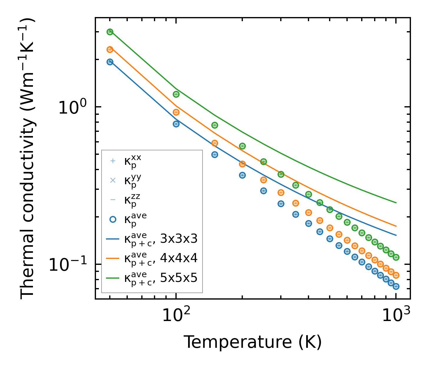
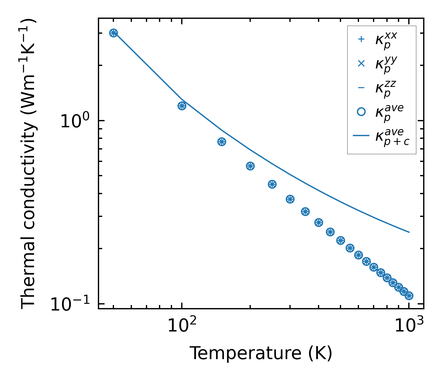
Thermal conductivity

3-phonon (LASSO) — q-mesh: 5x5x5, supercell: 1x1x1

../../_images/fig_kappa11802.png

(a) Temperature-dependent lattice thermal conductivity

../../_images/fig_kappa_vs_grain_size6351.png

(b) Peierls lattice thermal conductivity w.r.t grain size

Phonon lifetime and scattering rates

../../_images/fig_lifetime6212.png

(a) Phonon lifetime due to phonon-phonon scattering

../../_images/fig_scat_rates6211.png

(b) Phonon scattering rates

Cumulative and spectral thermal conductivity

../../_images/fig_cumu_frequency6212.png

(a) Spectral and cumulative thermal conductivity w.r.t frequency

../../_images/fig_cumu_mfp6211.png

(b) Spectral and cumulative thermal conductivity w.r.t MFP

Force constants

../../_images/fig_fc214278.png

(a) Force constants w.r.t atomic distance

Summary

../../_images/fig_kappa11803.png

(a) Temperature-dependent lattice thermal conductivity

../../_images/fig_times24390.png

(b) Computation time