mp-14333/TaAlO4/anharm

Harmonic properties

../../_images/fig_bandos_pr14761.png

(a) Phonon dispersion with participation ratio and DOS

../../_images/fig_thermo14761.png

(b) Thermodynamic properties

Grüneisen parameters

../../_images/fig_gru_all6329.png

(a) Grüneisen parameters

../../_images/fig_gruneisen6329.png

(b) Phonon dispersion with Grüneisen parameters

Thermal conductivity

3-phonon (LASSO) — q-mesh: 13x13x13, supercell: 1x3x2

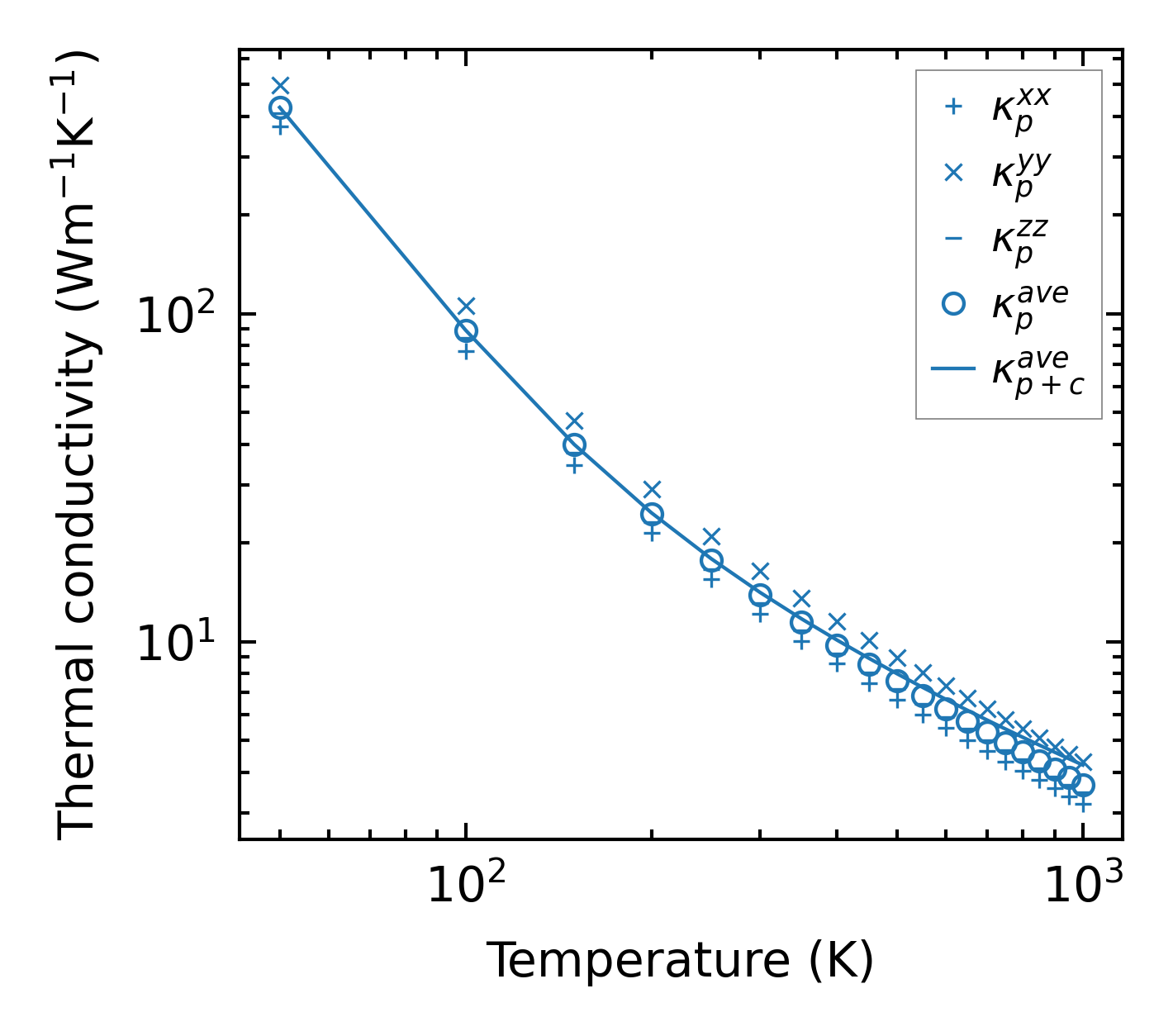
../../_images/fig_kappa11905.png

(a) Temperature-dependent lattice thermal conductivity

../../_images/fig_kappa_vs_grain_size6405.png

(b) Peierls lattice thermal conductivity w.r.t grain size

Phonon lifetime and scattering rates

../../_images/fig_lifetime6266.png

(a) Phonon lifetime due to phonon-phonon scattering

../../_images/fig_scat_rates6265.png

(b) Phonon scattering rates

Cumulative and spectral thermal conductivity

../../_images/fig_cumu_frequency6266.png

(a) Spectral and cumulative thermal conductivity w.r.t frequency

../../_images/fig_cumu_mfp6265.png

(b) Spectral and cumulative thermal conductivity w.r.t MFP

Force constants

../../_images/fig_fc214379.png

(a) Force constants w.r.t atomic distance

Summary

../../_images/fig_kappa11906.png

(a) Temperature-dependent lattice thermal conductivity

../../_images/fig_times24520.png

(b) Computation time