mp-14790/GeTe4As2/anharm

Harmonic properties

../../_images/fig_bandos_pr14530.png

(a) Phonon dispersion with participation ratio and DOS

../../_images/fig_thermo14530.png

(b) Thermodynamic properties

Grüneisen parameters

../../_images/fig_gru_all6223.png

(a) Grüneisen parameters

../../_images/fig_gruneisen6223.png

(b) Phonon dispersion with Grüneisen parameters

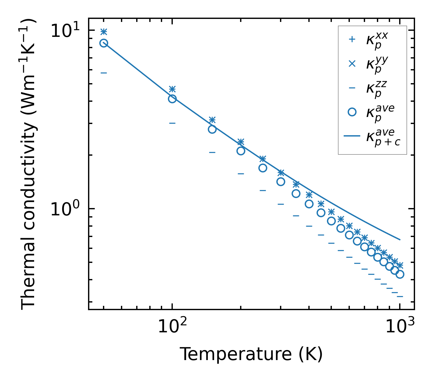
Thermal conductivity

3-phonon (LASSO) — q-mesh: 12x12x12, supercell: 2x2x1

../../_images/fig_kappa11709.png

(a) Temperature-dependent lattice thermal conductivity

../../_images/fig_kappa_vs_grain_size6301.png

(b) Peierls lattice thermal conductivity w.r.t grain size

Phonon lifetime and scattering rates

../../_images/fig_lifetime6162.png

(a) Phonon lifetime due to phonon-phonon scattering

../../_images/fig_scat_rates6161.png

(b) Phonon scattering rates

Cumulative and spectral thermal conductivity

../../_images/fig_cumu_frequency6162.png

(a) Spectral and cumulative thermal conductivity w.r.t frequency

../../_images/fig_cumu_mfp6161.png

(b) Spectral and cumulative thermal conductivity w.r.t MFP

Force constants

../../_images/fig_fc214149.png

(a) Force constants w.r.t atomic distance

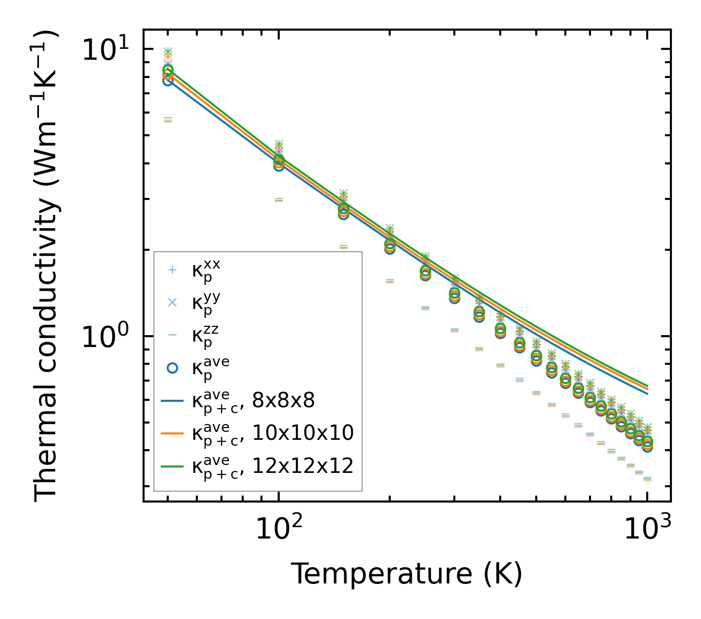
Summary

../../_images/fig_kappa11710.png

(a) Temperature-dependent lattice thermal conductivity

../../_images/fig_times24187.png

(b) Computation time