mp-14069/CsAlO2/harm

Harmonic properties

../../_images/fig_bandos_pr14684.png

(a) Phonon dispersion with participation ratio and DOS

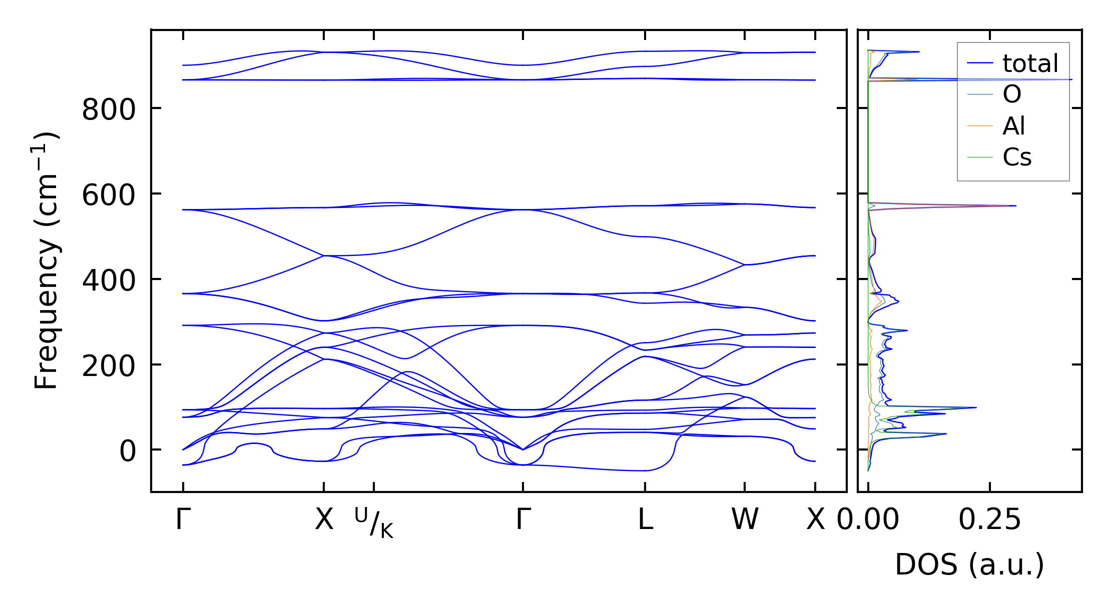
../../_images/fig_bandos19062.png

(b) Phonon dispersion and DOS

../../_images/fig_thermo14684.png

(c) Thermodynamic properties

Force constants

../../_images/fig_fc214303.png

(a) Force constants w.r.t atomic distance

Summary

../../_images/fig_times24420.png

(a) Computation time