mp-14495/Li6ZnO4/anharm

Harmonic properties

../../_images/fig_bandos_pr14821.png

(a) Phonon dispersion with participation ratio and DOS

../../_images/fig_thermo14821.png

(b) Thermodynamic properties

Grüneisen parameters

../../_images/fig_gru_all6352.png

(a) Grüneisen parameters

../../_images/fig_gruneisen6352.png

(b) Phonon dispersion with Grüneisen parameters

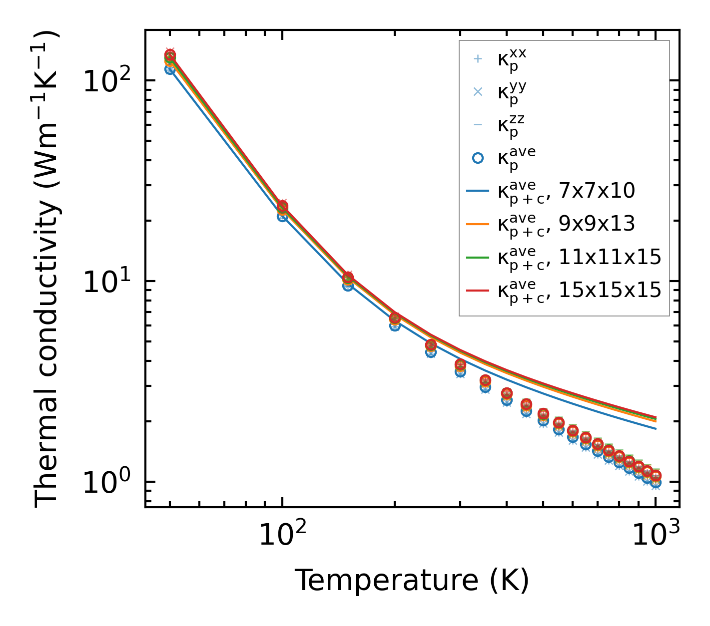
Thermal conductivity

Force constants

../../_images/fig_fc214439.png

(a) Force constants w.r.t atomic distance

Summary

../../_images/fig_kappa11947.png

(a) Temperature-dependent lattice thermal conductivity

../../_images/fig_times24600.png

(b) Computation time