mp-22975-2/Rb2TeCl6/harm

Equation of state

../../_images/fig_bm6580.png

(a) Equation of state

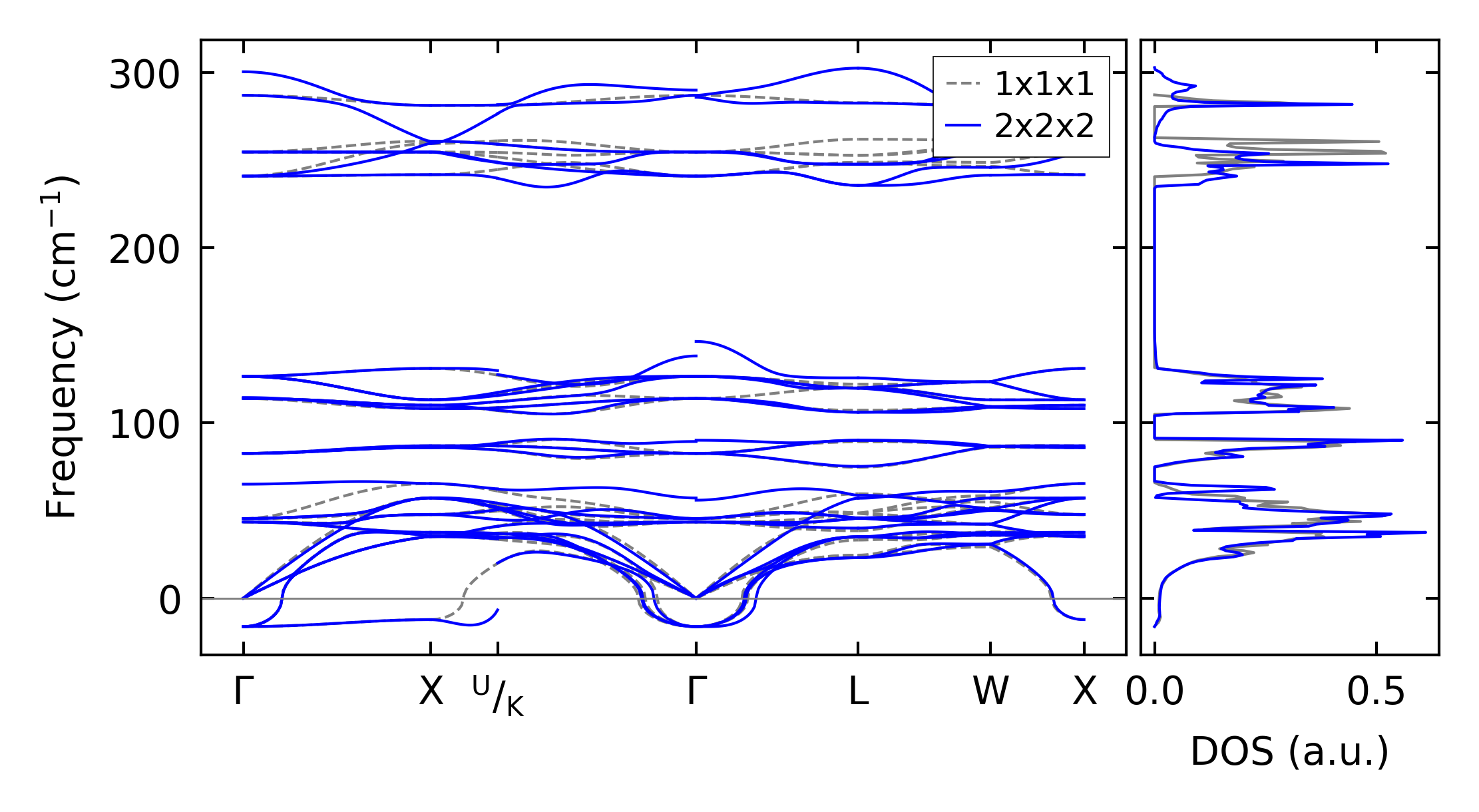
Harmonic properties

../../_images/fig_bandos_pr13164.png

(a) Phonon dispersion with participation ratio and DOS

../../_images/fig_bandos17556.png

(b) Phonon dispersion and DOS

../../_images/fig_thermo13164.png

(c) Thermodynamic properties

Force constants

../../_images/fig_fc212822.png

(a) Force constants w.r.t atomic distance

Summary

../../_images/fig_times22234.png

(a) Computation time