mp-22634-2/K4SrU3O12/harm

Equation of state

../../_images/fig_bm6535.png

(a) Equation of state

Harmonic properties

../../_images/fig_bandos_pr13087.png

(a) Phonon dispersion with participation ratio and DOS

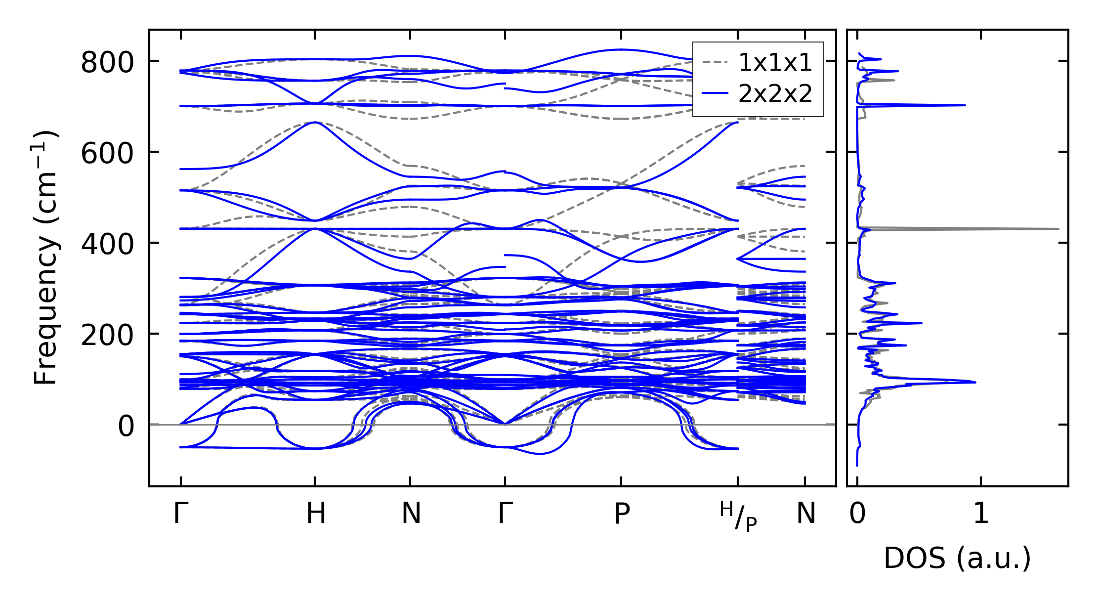
../../_images/fig_bandos17467.png

(b) Phonon dispersion and DOS

../../_images/fig_thermo13087.png

(c) Thermodynamic properties

Force constants

../../_images/fig_fc212765.png

(a) Force constants w.r.t atomic distance

Summary

../../_images/fig_times22106.png

(a) Computation time