mp-22893/PbI2/anharm

Harmonic properties

../../_images/fig_bandos_pr13123.png

(a) Phonon dispersion with participation ratio and DOS

../../_images/fig_thermo13123.png

(b) Thermodynamic properties

Grüneisen parameters

../../_images/fig_gru_all5483.png

(a) Grüneisen parameters

../../_images/fig_gruneisen5483.png

(b) Phonon dispersion with Grüneisen parameters

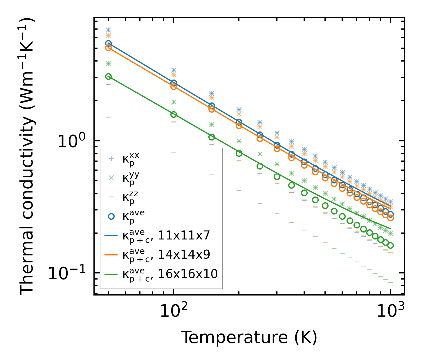
Thermal conductivity

3-phonon (LASSO) — q-mesh: 16x16x10, supercell: 4x4x3

../../_images/fig_kappa10296.png

(a) Temperature-dependent lattice thermal conductivity

../../_images/fig_kappa_vs_grain_size5548.png

(b) Peierls lattice thermal conductivity w.r.t grain size

Phonon lifetime and scattering rates

../../_images/fig_lifetime5431.png

(a) Phonon lifetime due to phonon-phonon scattering

../../_images/fig_scat_rates5430.png

(b) Phonon scattering rates

Cumulative and spectral thermal conductivity

../../_images/fig_cumu_frequency5431.png

(a) Spectral and cumulative thermal conductivity w.r.t frequency

../../_images/fig_cumu_mfp5430.png

(b) Spectral and cumulative thermal conductivity w.r.t MFP

Force constants

../../_images/fig_fc212794.png

(a) Force constants w.r.t atomic distance

Summary

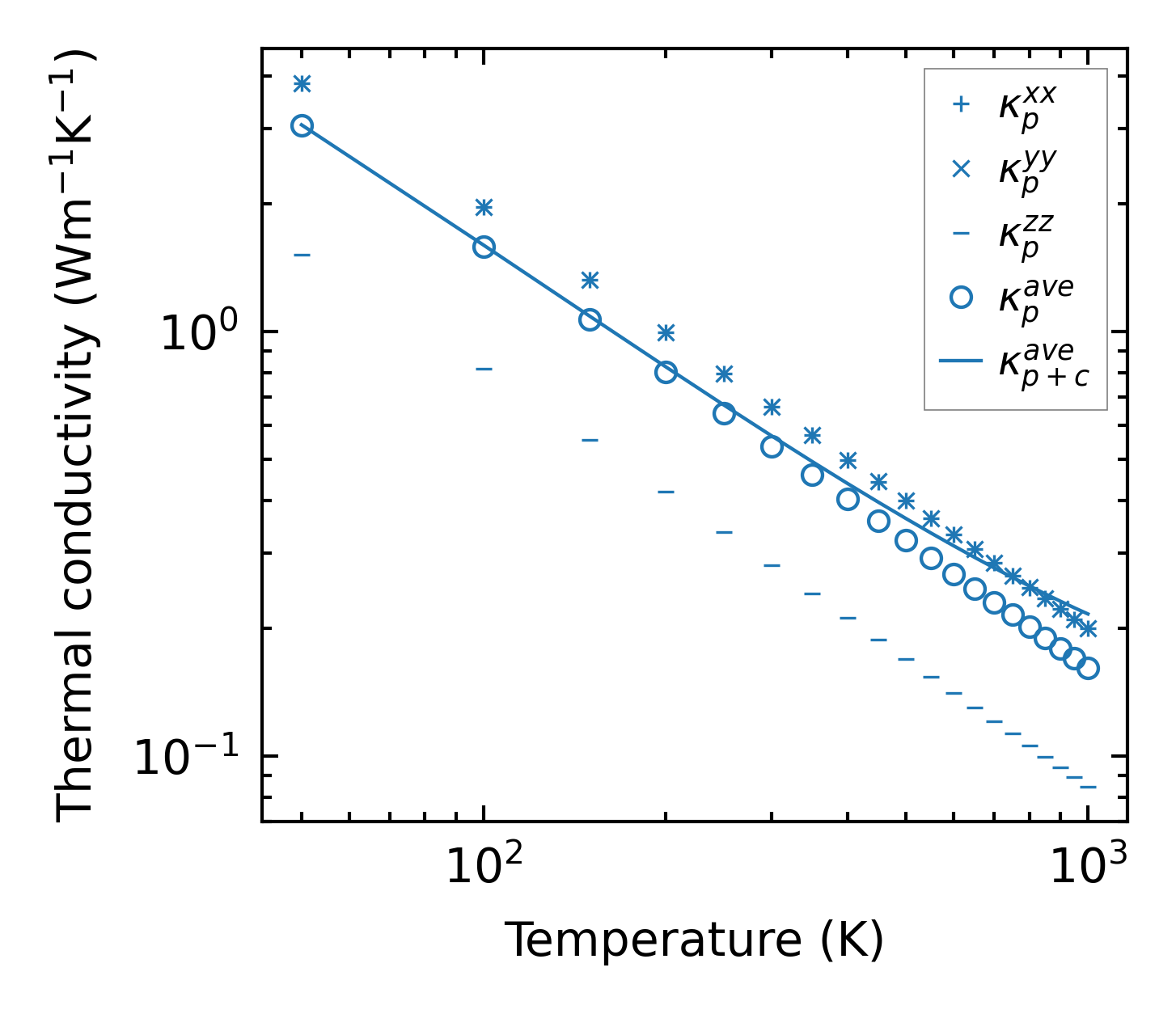
../../_images/fig_kappa10297.png

(a) Temperature-dependent lattice thermal conductivity

../../_images/fig_times22177.png

(b) Computation time