mp-22323/In2O3/anharm

Harmonic properties

../../_images/fig_bandos_pr13051.png

(a) Phonon dispersion with participation ratio and DOS

../../_images/fig_thermo13051.png

(b) Thermodynamic properties

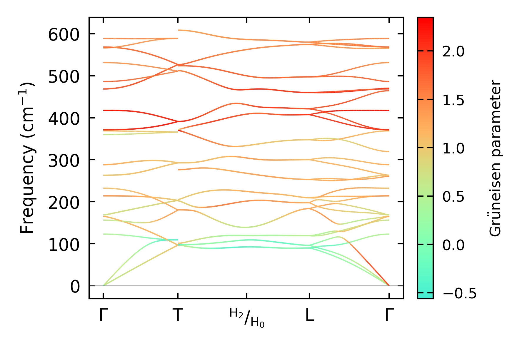
Grüneisen parameters

../../_images/fig_gru_all5440.png

(a) Grüneisen parameters

../../_images/fig_gruneisen5440.png

(b) Phonon dispersion with Grüneisen parameters

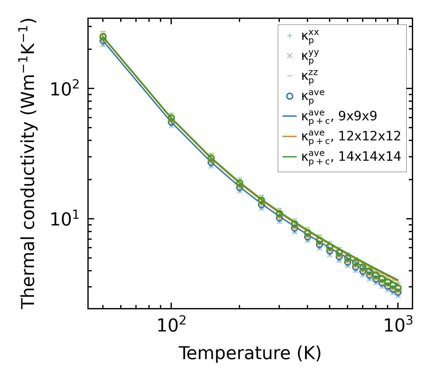
Thermal conductivity

3-phonon (LASSO) — q-mesh: 14x14x14, supercell: 2x2x1

../../_images/fig_kappa10216.png

(a) Temperature-dependent lattice thermal conductivity

../../_images/fig_kappa_vs_grain_size5504.png

(b) Peierls lattice thermal conductivity w.r.t grain size

Phonon lifetime and scattering rates

../../_images/fig_lifetime5388.png

(a) Phonon lifetime due to phonon-phonon scattering

../../_images/fig_scat_rates5387.png

(b) Phonon scattering rates

Cumulative and spectral thermal conductivity

../../_images/fig_cumu_frequency5388.png

(a) Spectral and cumulative thermal conductivity w.r.t frequency

../../_images/fig_cumu_mfp5387.png

(b) Spectral and cumulative thermal conductivity w.r.t MFP

Force constants

../../_images/fig_fc212731.png

(a) Force constants w.r.t atomic distance

Summary

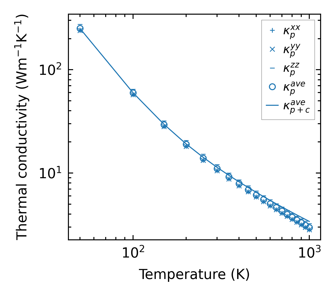
../../_images/fig_kappa10217.png

(a) Temperature-dependent lattice thermal conductivity

../../_images/fig_times22044.png

(b) Computation time