mp-22630/Sc2PbS4/anharm

Harmonic properties

../../_images/fig_bandos_pr13085.png

(a) Phonon dispersion with participation ratio and DOS

../../_images/fig_thermo13085.png

(b) Thermodynamic properties

Grüneisen parameters

../../_images/fig_gru_all5463.png

(a) Grüneisen parameters

../../_images/fig_gruneisen5463.png

(b) Phonon dispersion with Grüneisen parameters

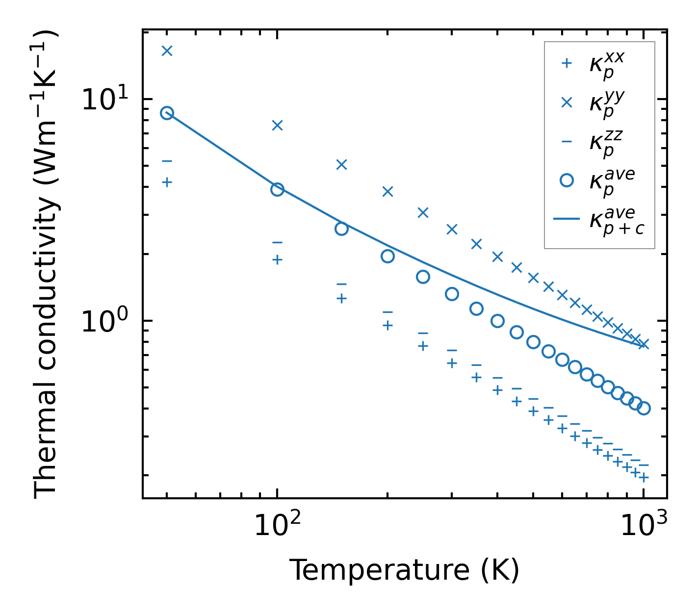
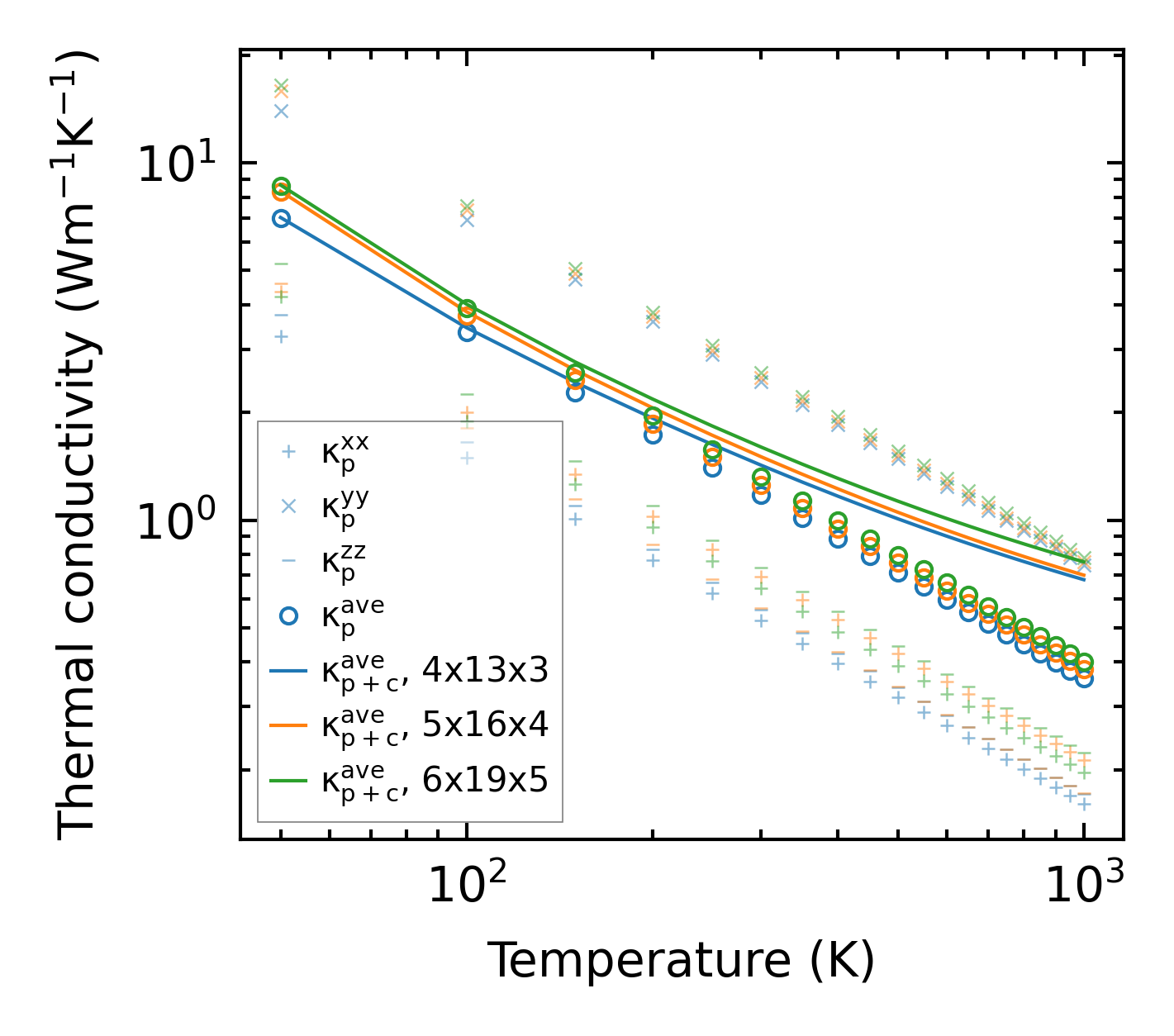
Thermal conductivity

3-phonon (LASSO) — q-mesh: 6x19x5, supercell: 1x4x1

../../_images/fig_kappa10261.png

(a) Temperature-dependent lattice thermal conductivity

../../_images/fig_kappa_vs_grain_size5528.png

(b) Peierls lattice thermal conductivity w.r.t grain size

Phonon lifetime and scattering rates

../../_images/fig_lifetime5411.png

(a) Phonon lifetime due to phonon-phonon scattering

../../_images/fig_scat_rates5410.png

(b) Phonon scattering rates

Cumulative and spectral thermal conductivity

../../_images/fig_cumu_frequency5411.png

(a) Spectral and cumulative thermal conductivity w.r.t frequency

../../_images/fig_cumu_mfp5410.png

(b) Spectral and cumulative thermal conductivity w.r.t MFP

Force constants

../../_images/fig_fc212763.png

(a) Force constants w.r.t atomic distance

Summary

../../_images/fig_kappa10262.png

(a) Temperature-dependent lattice thermal conductivity

../../_images/fig_times22102.png

(b) Computation time