mp-22841/Ba2In2S5/anharm

Harmonic properties

../../_images/fig_bandos_pr13107.png

(a) Phonon dispersion with participation ratio and DOS

../../_images/fig_thermo13107.png

(b) Thermodynamic properties

Grüneisen parameters

../../_images/fig_gru_all5472.png

(a) Grüneisen parameters

../../_images/fig_gruneisen5472.png

(b) Phonon dispersion with Grüneisen parameters

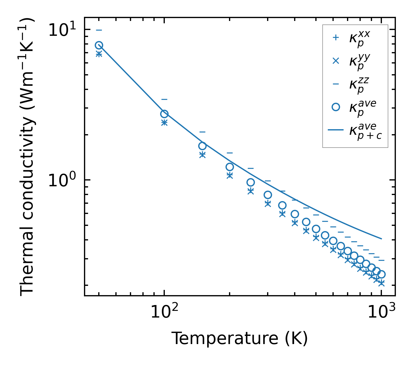
Thermal conductivity

3-phonon (LASSO) — q-mesh: 6x5x5, supercell: 2x1x1

../../_images/fig_kappa10275.png

(a) Temperature-dependent lattice thermal conductivity

../../_images/fig_kappa_vs_grain_size5537.png

(b) Peierls lattice thermal conductivity w.r.t grain size

Phonon lifetime and scattering rates

../../_images/fig_lifetime5420.png

(a) Phonon lifetime due to phonon-phonon scattering

../../_images/fig_scat_rates5419.png

(b) Phonon scattering rates

Cumulative and spectral thermal conductivity

../../_images/fig_cumu_frequency5420.png

(a) Spectral and cumulative thermal conductivity w.r.t frequency

../../_images/fig_cumu_mfp5419.png

(b) Spectral and cumulative thermal conductivity w.r.t MFP

Force constants

../../_images/fig_fc212784.png

(a) Force constants w.r.t atomic distance

Summary

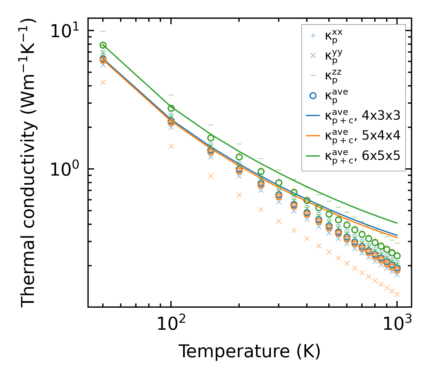
../../_images/fig_kappa10276.png

(a) Temperature-dependent lattice thermal conductivity

../../_images/fig_times22142.png

(b) Computation time