mp-22169-2/MoPbO4/anharm

Equation of state

../../_images/fig_bm6505.png

(a) Equation of state

Harmonic properties

../../_images/fig_bandos_pr13026.png

(a) Phonon dispersion with participation ratio and DOS

../../_images/fig_bandos17410.png

(b) Phonon dispersion and DOS

../../_images/fig_thermo13026.png

(c) Thermodynamic properties

Grüneisen parameters

../../_images/fig_gru_all5424.png

(a) Grüneisen parameters

../../_images/fig_gruneisen5424.png

(b) Phonon dispersion with Grüneisen parameters

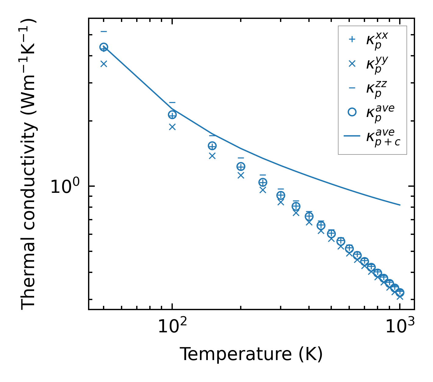
Thermal conductivity

3-phonon (LASSO), supercell 3x3x2 — q-mesh: 14x14x10, supercell: 3x3x2

../../_images/fig_kappa10186.png

(a) Temperature-dependent lattice thermal conductivity

../../_images/fig_kappa_vs_grain_size5488.png

(b) Peierls lattice thermal conductivity w.r.t grain size

Phonon lifetime and scattering rates

../../_images/fig_lifetime5372.png

(a) Phonon lifetime due to phonon-phonon scattering

../../_images/fig_scat_rates5371.png

(b) Phonon scattering rates

Cumulative and spectral thermal conductivity

../../_images/fig_cumu_frequency5372.png

(a) Spectral and cumulative thermal conductivity w.r.t frequency

../../_images/fig_cumu_mfp5371.png

(b) Spectral and cumulative thermal conductivity w.r.t MFP

Force constants

../../_images/fig_fc212706.png

(a) Force constants w.r.t atomic distance

Summary

../../_images/fig_times22016.png

(a) Computation time