mp-22966/CCl2F2/harm

Harmonic properties

../../_images/fig_bandos_pr13156.png

(a) Phonon dispersion with participation ratio and DOS

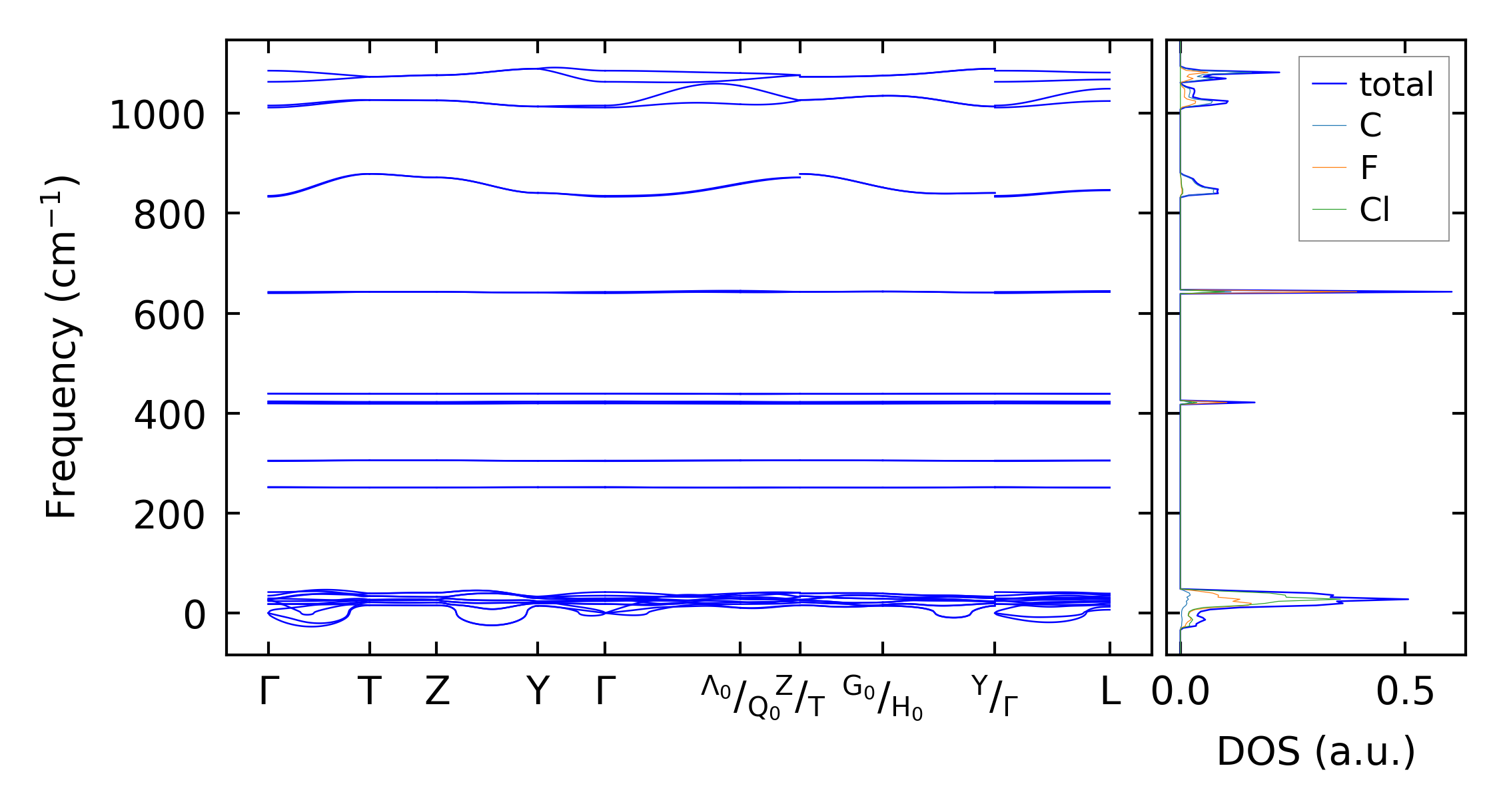
../../_images/fig_bandos17547.png

(b) Phonon dispersion and DOS

../../_images/fig_thermo13156.png

(c) Thermodynamic properties

Force constants

../../_images/fig_fc212814.png

(a) Force constants w.r.t atomic distance

Summary

../../_images/fig_times22223.png

(a) Computation time