mp-22897-2/HgCl/anharm

Equation of state

../../_images/fig_bm6565.png

(a) Equation of state

Harmonic properties

../../_images/fig_bandos_pr13127.png

(a) Phonon dispersion with participation ratio and DOS

../../_images/fig_thermo13127.png

(b) Thermodynamic properties

Grüneisen parameters

../../_images/fig_gru_all5487.png

(a) Grüneisen parameters

../../_images/fig_gruneisen5487.png

(b) Phonon dispersion with Grüneisen parameters

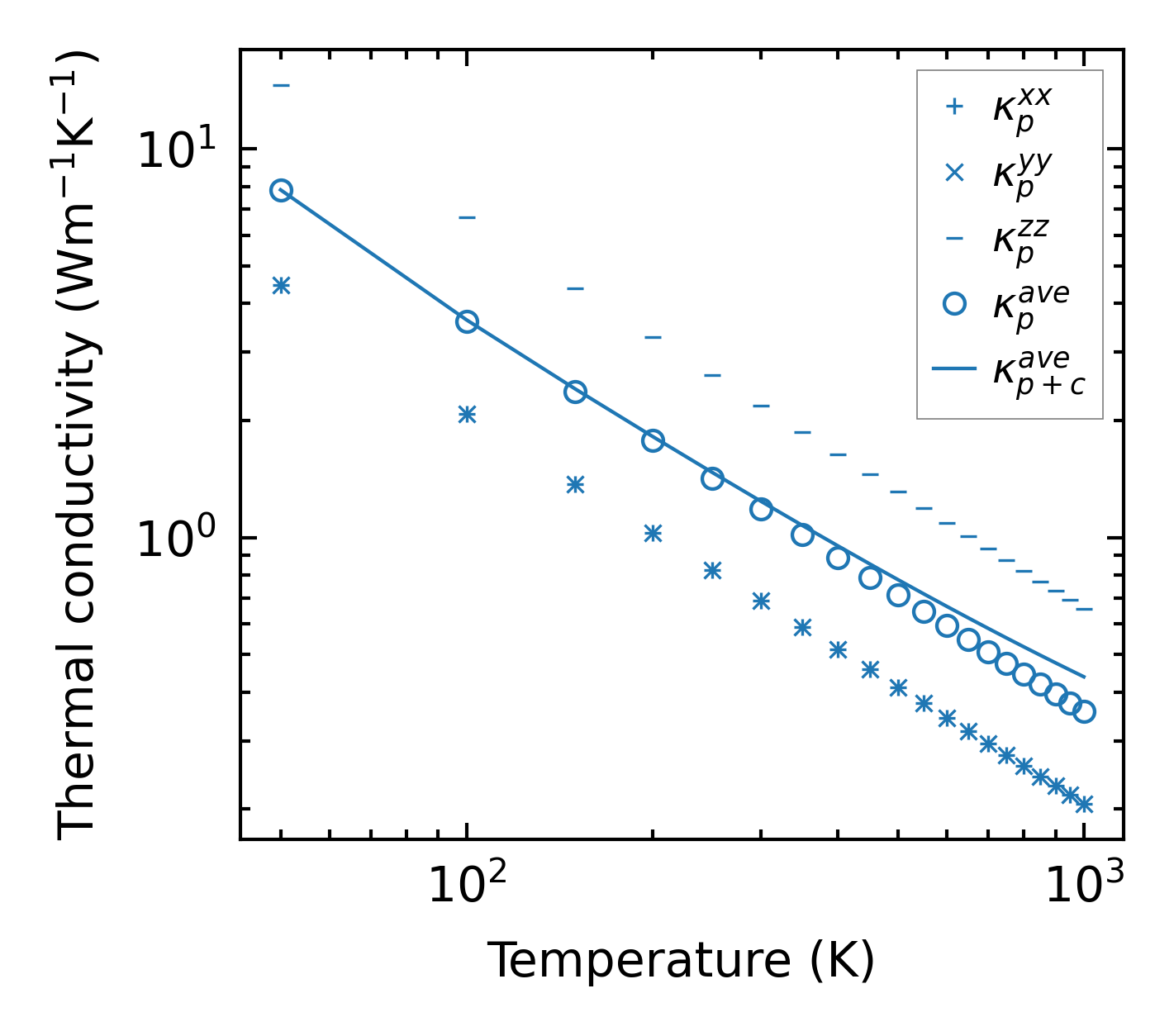
Thermal conductivity

3-phonon — q-mesh: 15x15x15, supercell: 3x3x2

../../_images/fig_kappa10303.png

(a) Temperature-dependent lattice thermal conductivity

../../_images/fig_kappa_vs_grain_size5552.png

(b) Peierls lattice thermal conductivity w.r.t grain size

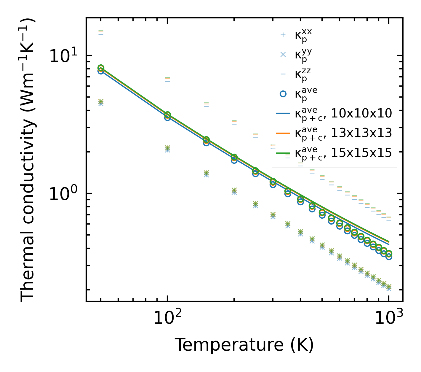
3-phonon, supercell 4x4x2 — q-mesh: 15x15x15, supercell: 4x4x2

../../_images/fig_kappa10304.png

(a) Temperature-dependent lattice thermal conductivity

../../_images/fig_kappa_vs_grain_size5553.png

(b) Peierls lattice thermal conductivity w.r.t grain size

Phonon lifetime and scattering rates

../../_images/fig_lifetime5435.png

(a) Phonon lifetime due to phonon-phonon scattering

../../_images/fig_scat_rates5434.png

(b) Phonon scattering rates

Cumulative and spectral thermal conductivity

../../_images/fig_cumu_frequency5435.png

(a) Spectral and cumulative thermal conductivity w.r.t frequency

../../_images/fig_cumu_mfp5434.png

(b) Spectral and cumulative thermal conductivity w.r.t MFP

Force constants

../../_images/fig_fc3330.png

(a) Force constants w.r.t atomic distance

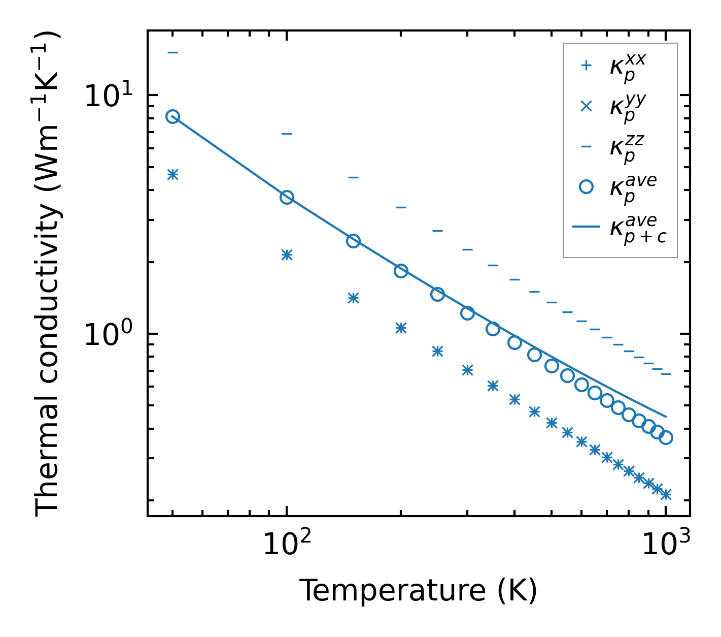
Summary

../../_images/fig_kappa10305.png

(a) Temperature-dependent lattice thermal conductivity

../../_images/fig_times22183.png

(b) Computation time