mp-22691-2/InSe/anharm

Equation of state

../../_images/fig_bm6540.png

(a) Equation of state

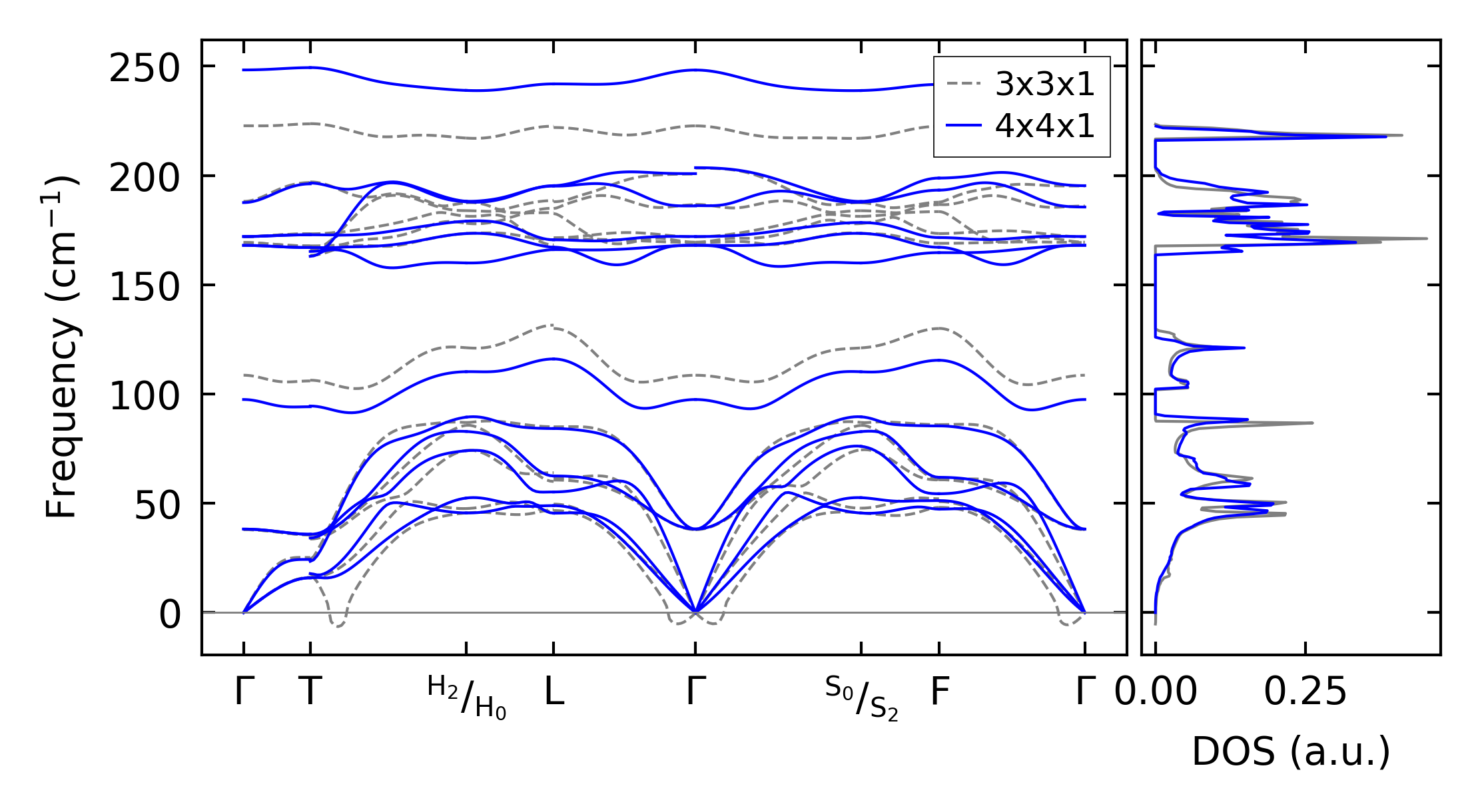
Harmonic properties

../../_images/fig_bandos_pr13095.png

(a) Phonon dispersion with participation ratio and DOS

../../_images/fig_bandos17477.png

(b) Phonon dispersion and DOS

../../_images/fig_thermo13095.png

(c) Thermodynamic properties

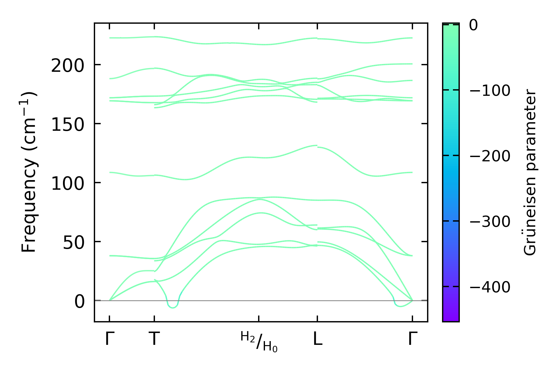
Grüneisen parameters

../../_images/fig_gru_all5467.png

(a) Grüneisen parameters

../../_images/fig_gruneisen5467.png

(b) Phonon dispersion with Grüneisen parameters

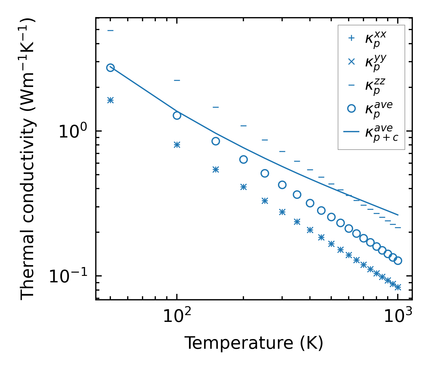
Thermal conductivity

3-phonon (LASSO), supercell 4x4x1 — q-mesh: 14x14x14, supercell: 4x4x1

../../_images/fig_kappa10267.png

(a) Temperature-dependent lattice thermal conductivity

../../_images/fig_kappa_vs_grain_size5532.png

(b) Peierls lattice thermal conductivity w.r.t grain size

Phonon lifetime and scattering rates

../../_images/fig_lifetime5415.png

(a) Phonon lifetime due to phonon-phonon scattering

../../_images/fig_scat_rates5414.png

(b) Phonon scattering rates

Cumulative and spectral thermal conductivity

../../_images/fig_cumu_frequency5415.png

(a) Spectral and cumulative thermal conductivity w.r.t frequency

../../_images/fig_cumu_mfp5414.png

(b) Spectral and cumulative thermal conductivity w.r.t MFP

Force constants

../../_images/fig_fc212773.png

(a) Force constants w.r.t atomic distance

Summary

../../_images/fig_times22117.png

(a) Computation time