mp-22791-2/TlInTe2/harm
- Space group: I4/mcm (140)
- Link: Materials Project
- Download: mp-22791-2.tar.gz
Harmonic properties
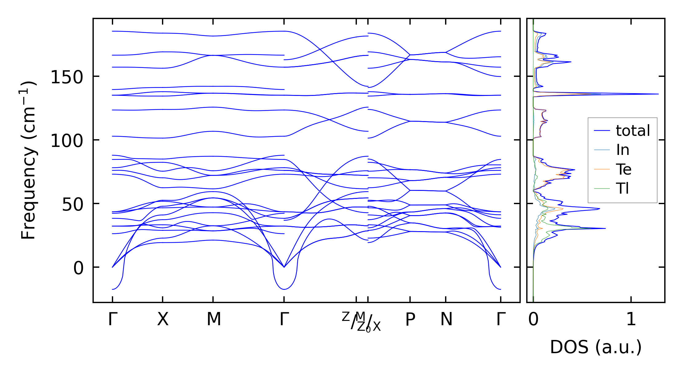
(a) Phonon dispersion and DOS
Summary
(a) Computation time
(a) Phonon dispersion and DOS
(a) Computation time