mp-22003-2/NaN3/anharm

Equation of state

../../_images/fig_bm6496.png

(a) Equation of state

Harmonic properties

../../_images/fig_bandos_pr13015.png

(a) Phonon dispersion with participation ratio and DOS

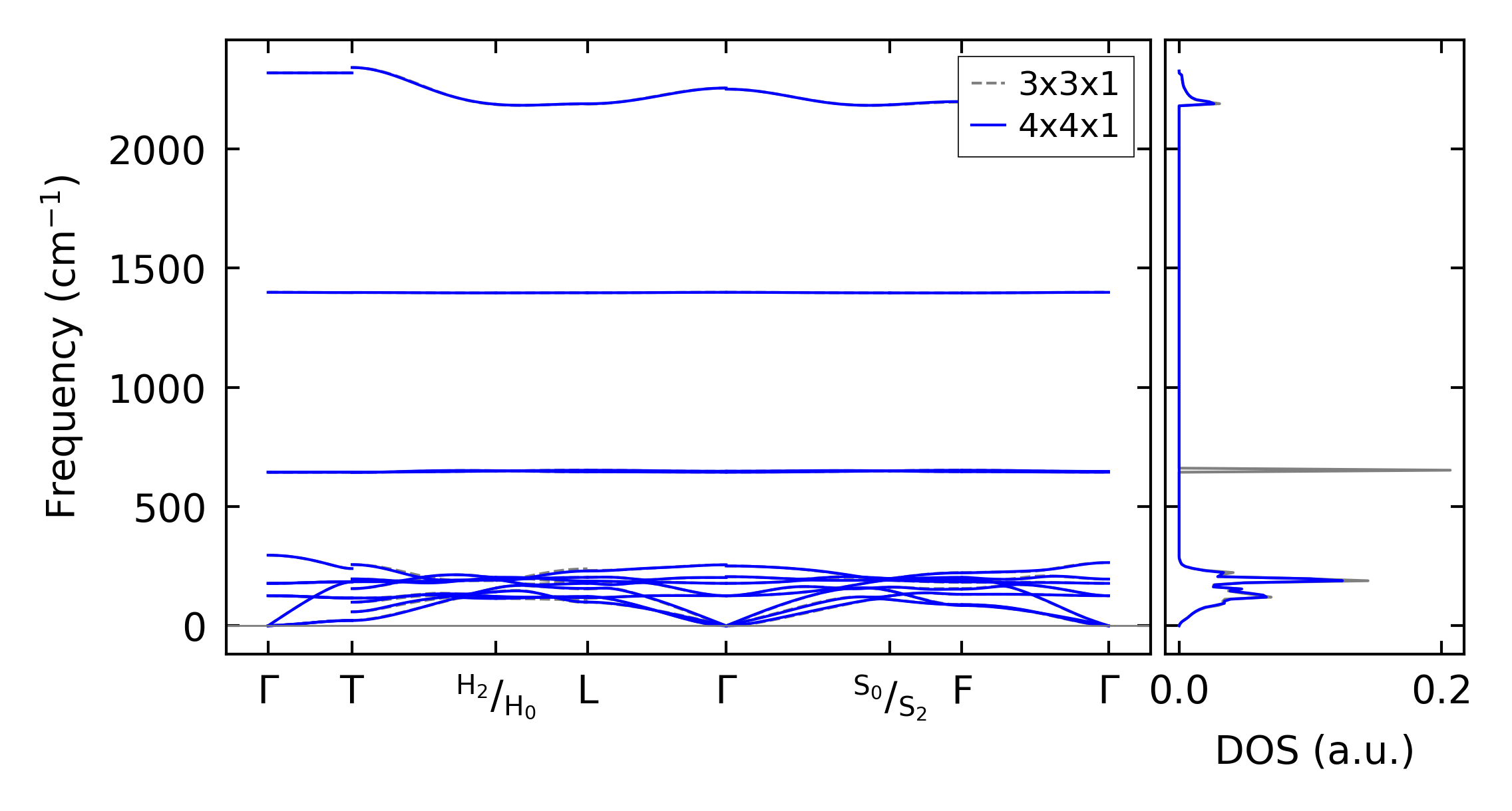
../../_images/fig_bandos17392.png

(b) Phonon dispersion and DOS

../../_images/fig_thermo13015.png

(c) Thermodynamic properties

Grüneisen parameters

../../_images/fig_gru_all5418.png

(a) Grüneisen parameters

../../_images/fig_gruneisen5418.png

(b) Phonon dispersion with Grüneisen parameters

Thermal conductivity

3-phonon (LASSO), supercell 4x4x1 — q-mesh: 18x18x18, supercell: 4x4x1

../../_images/fig_kappa10177.png

(a) Temperature-dependent lattice thermal conductivity

../../_images/fig_kappa_vs_grain_size5482.png

(b) Peierls lattice thermal conductivity w.r.t grain size

Phonon lifetime and scattering rates

../../_images/fig_lifetime5366.png

(a) Phonon lifetime due to phonon-phonon scattering

../../_images/fig_scat_rates5365.png

(b) Phonon scattering rates

Cumulative and spectral thermal conductivity

../../_images/fig_cumu_frequency5366.png

(a) Spectral and cumulative thermal conductivity w.r.t frequency

../../_images/fig_cumu_mfp5365.png

(b) Spectral and cumulative thermal conductivity w.r.t MFP

Force constants

../../_images/fig_fc212696.png

(a) Force constants w.r.t atomic distance

Summary

../../_images/fig_times21995.png

(a) Computation time