mp-22253-4/ZnIn2S4/anharm

Equation of state

../../_images/fig_bm6510.png

(a) Equation of state

Harmonic properties

../../_images/fig_bandos_pr13044.png

(a) Phonon dispersion with participation ratio and DOS

../../_images/fig_thermo13044.png

(b) Thermodynamic properties

Grüneisen parameters

../../_images/fig_gru_all5435.png

(a) Grüneisen parameters

../../_images/fig_gruneisen5435.png

(b) Phonon dispersion with Grüneisen parameters

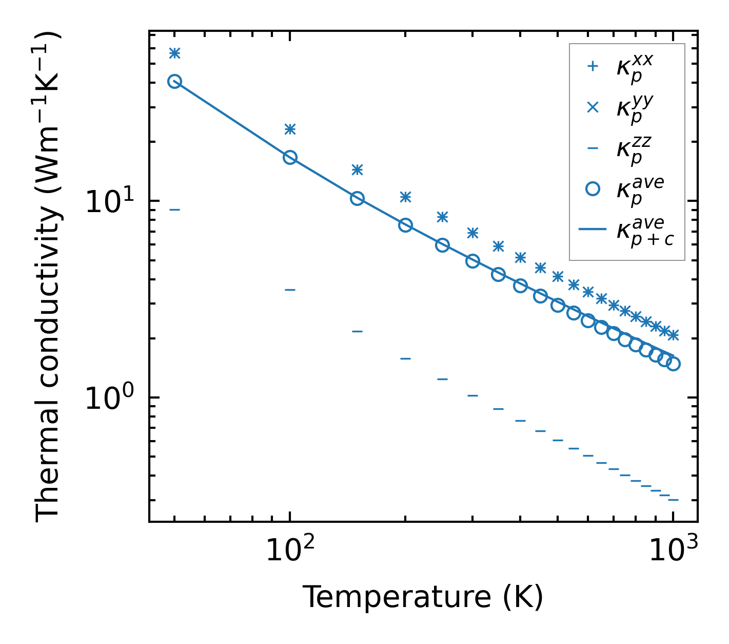
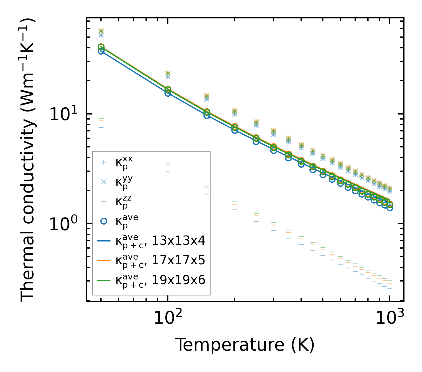
Thermal conductivity

3-phonon (LASSO) — q-mesh: 19x19x6, supercell: 4x4x1

../../_images/fig_kappa10206.png

(a) Temperature-dependent lattice thermal conductivity

../../_images/fig_kappa_vs_grain_size5499.png

(b) Peierls lattice thermal conductivity w.r.t grain size

Phonon lifetime and scattering rates

../../_images/fig_lifetime5383.png

(a) Phonon lifetime due to phonon-phonon scattering

../../_images/fig_scat_rates5382.png

(b) Phonon scattering rates

Cumulative and spectral thermal conductivity

../../_images/fig_cumu_frequency5383.png

(a) Spectral and cumulative thermal conductivity w.r.t frequency

../../_images/fig_cumu_mfp5382.png

(b) Spectral and cumulative thermal conductivity w.r.t MFP

Force constants

../../_images/fig_fc212724.png

(a) Force constants w.r.t atomic distance

Summary

../../_images/fig_kappa10207.png

(a) Temperature-dependent lattice thermal conductivity

../../_images/fig_times22035.png

(b) Computation time